| ||||||||||||||||||||||||||||
Скачать ГОСТ Р 59193-2020 Управление конфигурацией. Основные положенияДата актуализации: 01.06.2025
| ||||||||||||||||||||||||||||
| Обозначение: | ![]() ГОСТ Р 59193-2020 |
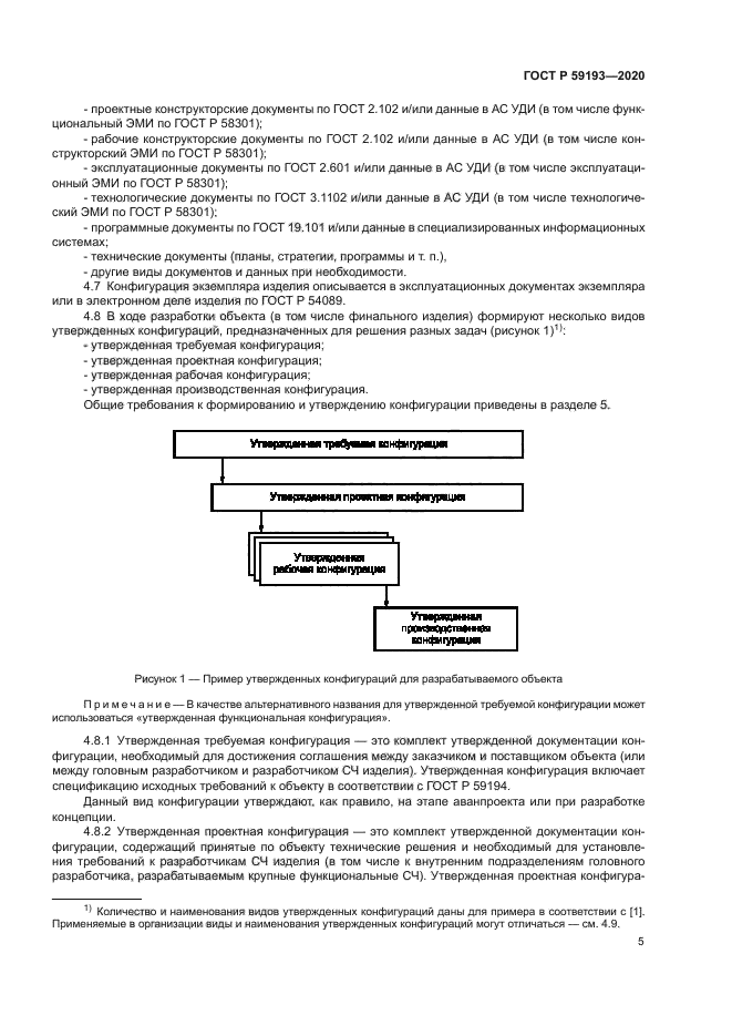
| Статус: | действующий |
| Название рус.: | Управление конфигурацией. Основные положения |
| Название англ.: | Configuration management. General provisions |
| Дата актуализации текста: | 01.01.2022 |
| Дата актуализации описания: | 01.07.2023 |
| Дата издания: | 15.12.2020 |
| Дата введения: | 01.06.2021 |
| Нормативные ссылки: | ГОСТ 2.053; ГОСТ 2.102; ГОСТ 2.103; ГОСТ 2.201; ГОСТ 2.503; ГОСТ 2.603; ГОСТ 3.1102; ГОСТ 19.101; ГОСТ Р 2.601; ГОСТ Р 51904; ГОСТ Р 54089; ГОСТ Р 56135; ГОСТ Р 56136; ГОСТ Р 57193-2016; ГОСТ Р 58301; ГОСТ Р 58675; ГОСТ Р ИСО 10007-2019; ГОСТ Р 59194-2020 |
| Область применения: | Настоящий стандарт устанавливает основные принципы и задачи управления конфигурацией на всех стадиях жизненного цикла изделия, а также объекты и субъекты управления конфигурацией. Настоящий стандарт распространяется на изделия машиностроения и приборостроения, в том числе на их составные части. Применение требований стандарта к другим видам изделий определяется по усмотрению организации разработчика |
| Расположен в: | |


















