Информационная система
«Ёшкин Кот»

Скачать базу одним архивом
Скачать обновления
История создания базы
Карта сайта

Скачать ГОСТ Р 59234-2020 Единая энергетическая система и изолированно работающие энергосистемы. Релейная защита и автоматика. Автоматическое противоаварийное управление режимами энергосистем. Устройства автоматики разгрузки при перегрузке по мощности. Нормы и требования

Дата актуализации: 01.06.2025

ГОСТ Р 59234-2020

Единая энергетическая система и изолированно работающие энергосистемы. Релейная защита и автоматика. Автоматическое противоаварийное управление режимами энергосистем. Устройства автоматики разгрузки при перегрузке по мощности. Нормы и требования

Обозначение: ГОСТ Р 59234-2020
Статус:действующий
Название рус.:Единая энергетическая система и изолированно работающие энергосистемы. Релейная защита и автоматика. Автоматическое противоаварийное управление режимами энергосистем. Устройства автоматики разгрузки при перегрузке по мощности. Нормы и требования
Название англ.:United power system and isolated power systems. Relay protection and automation. Automatic emergency control of electric power systems. Automatic unloading devices in case of power overload. Norms and requirements
Дата актуализации текста:01.01.2022
Дата актуализации описания:01.07.2023
Дата издания:09.12.2020
Дата введения:01.01.2021
Нормативные ссылки:ГОСТ Р 55105;ГОСТ Р 57114
Область применения:Настоящий стандарт устанавливает: - основные требования к микропроцессорным устройствам автоматики разгрузки при перегрузке по мощности (далее соответственно - АРПМ, устройства АРПМ), в том числе многофункциональным микропроцессорным устройствам противоаварийной автоматики с функцией АРПМ, обеспечивающие выполнение АРПМ своих функций в электроэнергетической системе; - порядок и методику проведения испытаний микропроцессорных устройств АРПМ для проверки их соответствия указанным требованиям. Настоящий стандарт распространяется на субъектов оперативно-диспетчерского управления в электроэнергетике, собственников и иных законных владельцев электрических станций и объектов электросетевого хозяйства, на которых установлены устройства АРПМ, организации, осуществляющие деятельность по разработке, изготовлению, наладке, эксплуатации устройств и комплексов противоаварийной автоматики, проектные и научно-исследовательские организации. Настоящий стандарт предназначен для применения при подготовке, согласовании и выполнении технических условий на технологическое присоединение объектов электроэнергетики и энергопринимающих установок потребителей электрической энергии к электрическим сетям, строительстве, реконструкции, модернизации и техническом перевооружении объектов электроэнергетики, создании (модернизации) устройств и комплексов противоаварийной автоматики. Требования настоящего стандарта распространяются на вновь устанавливаемые на объектах электроэнергетики устройства АРПМ, а также на существующие устройства АРПМ в случаях, указанных в 1.5, абзац четвертый. Требования настоящего стандарта не распространяются (за исключением случаев, указанных в абзаце четвертом настоящего пункта) на устройства АРПМ в случае, если такие устройства: - установлены на объектах электроэнергетики до вступления в силу настоящего стандарта; - подлежат установке на объектах электроэнергетики в соответствии с проектной (рабочей) документацией на создание (модернизацию) устройств или комплексов противоаварийной автоматики, согласованной и утвержденной в установленном порядке до вступления в силу настоящего стандарта. Для указанных устройств АРПМ выполнение требований настоящего стандарта должно быть обеспечено при их модернизации либо замене, а также в случае изменения алгоритма их функционирования (при наличии технической возможности реализации в устройстве АРПМ). Настоящий стандарт не устанавливает требования к электромагнитной совместимости, условиям эксплуатации, сервисному обслуживанию, объему заводских проверок, изоляции, пожаробезопасности, электробезопасности, информационной безопасности устройств АРПМ, оперативному и техническому обслуживанию устройств АРПМ
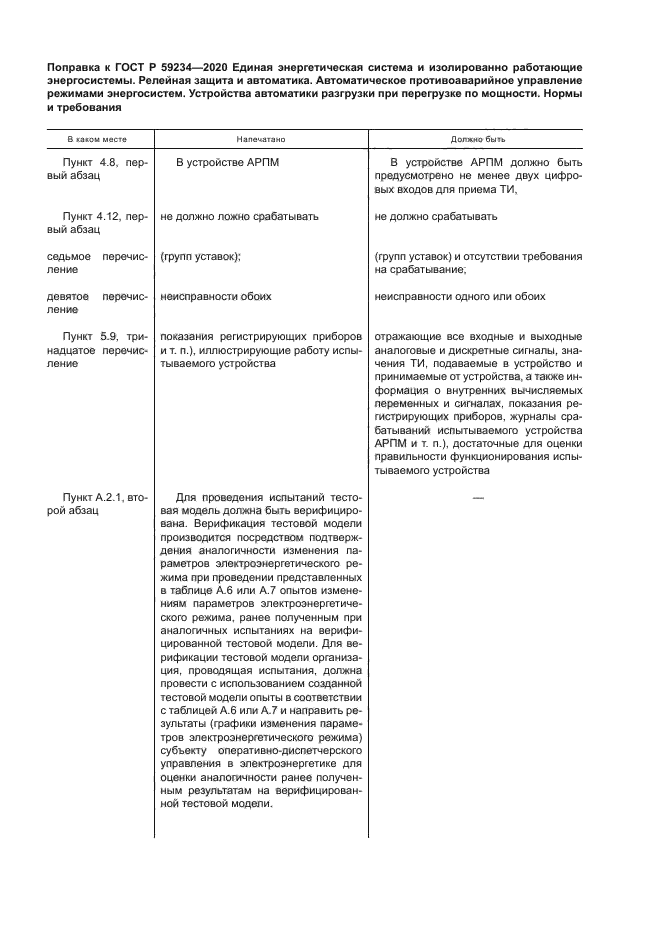
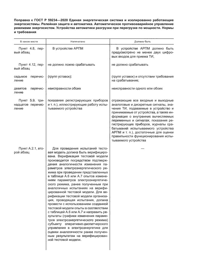
Приложение №1:Поправка к ГОСТ Р 59234-2020
Расположен в:Государственные стандарты Общероссийский классификатор стандартов Энергетика и теплотехника Энергетика и теплотехника в целом
ГОСТ Р 59234-2020ГОСТ Р 59234-2020ГОСТ Р 59234-2020ГОСТ Р 59234-2020ГОСТ Р 59234-2020ГОСТ Р 59234-2020ГОСТ Р 59234-2020ГОСТ Р 59234-2020ГОСТ Р 59234-2020ГОСТ Р 59234-2020ГОСТ Р 59234-2020ГОСТ Р 59234-2020ГОСТ Р 59234-2020ГОСТ Р 59234-2020ГОСТ Р 59234-2020ГОСТ Р 59234-2020ГОСТ Р 59234-2020ГОСТ Р 59234-2020ГОСТ Р 59234-2020ГОСТ Р 59234-2020ГОСТ Р 59234-2020ГОСТ Р 59234-2020ГОСТ Р 59234-2020ГОСТ Р 59234-2020ГОСТ Р 59234-2020ГОСТ Р 59234-2020ГОСТ Р 59234-2020ГОСТ Р 59234-2020ГОСТ Р 59234-2020

Поправка к ГОСТ Р 59234-2020

Обозначение:Поправка к ГОСТ Р 59234-2020
Дата введения:06.02.2021


Поправка к ГОСТ Р 59234-2020Поправка к ГОСТ Р 59234-2020

© 2013 Ёшкин Кот :-) Карта сайта