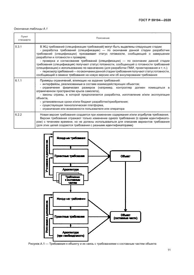
| ||||||||||||||||||||||||||||
Скачать ГОСТ Р 59194-2020 Управление требованиями. Основные положенияДата актуализации: 01.06.2025
| ||||||||||||||||||||||||||||
| Обозначение: | ![]() ГОСТ Р 59194-2020 |
| Статус: | действующий |
| Название рус.: | Управление требованиями. Основные положения |
| Название англ.: | Requirements engineering and management. General provisions |
| Дата актуализации текста: | 01.01.2022 |
| Дата актуализации описания: | 01.07.2023 |
| Дата издания: | 15.12.2020 |
| Дата введения: | 01.06.2021 |
| Нормативные ссылки: | ГОСТ 2.051; ГОСТ 2.102; ГОСТ 15.016; ГОСТ 19.101; ГОСТ 19.201; ГОСТ 19.301; ГОСТ 34.201; ГОСТ 34.602; ГОСТ Р 51904; ГОСТ Р 56136; ГОСТ Р 57193-2016; ГОСТ Р 57412; ГОСТ Р 58300; ГОСТ Р 58301; ГОСТ Р 59193-2020 |
| Область применения: | Настоящий стандарт устанавливает основные цели, задачи и принципы управления требованиями на всех стадиях жизненного цикла изделий машиностроения, приборостроения и их составных частей. Применение требований стандарта к другим видам изделий определяется по усмотрению организации-разработчика |
| Расположен в: | |


















