Информационная система
«Ёшкин Кот»

Скачать базу одним архивом
Скачать обновления
История создания базы
Карта сайта

Скачать ГОСТ Р 59383-2021 Информационные технологии. Методы и средства обеспечения безопасности. Основы управления доступом

Дата актуализации: 01.06.2025

ГОСТ Р 59383-2021

Информационные технологии. Методы и средства обеспечения безопасности. Основы управления доступом

Обозначение: ГОСТ Р 59383-2021
Статус:действующий
Название рус.:Информационные технологии. Методы и средства обеспечения безопасности. Основы управления доступом
Название англ.:Information technology. Security techniques. A framework for access management
Дата актуализации текста:01.06.2021
Дата актуализации описания:01.07.2023
Дата издания:01.06.2021
Дата введения:30.11.2021
Нормативные ссылки:ГОСТ Р 58833;ГОСТ Р 59381;ГОСТ Р 59382;ГОСТ Р 59407;ГОСТ Р ИСО/МЭК 27002
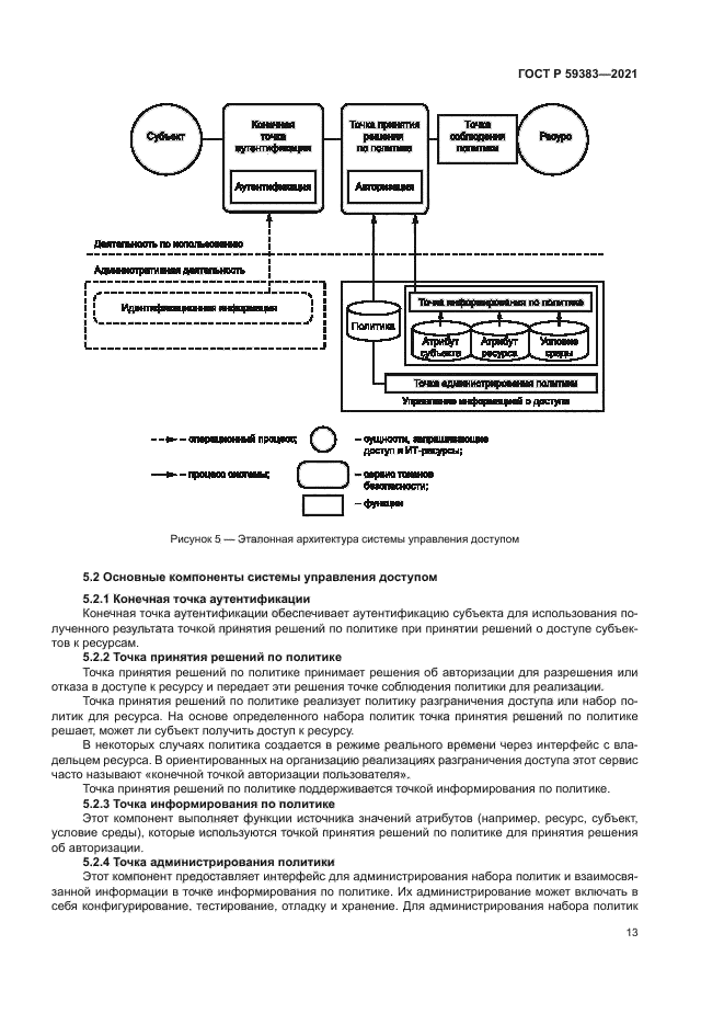
Область применения:Настоящий стандарт определяет основы управления доступом и безопасного управления процессом доступа к информации и ресурсам средств информационно-коммуникационных технологий. В настоящем стандарте приведены концепции, термины и определения, применимые для методов управления распределенным доступом в сетевой среде, представлены разъяснения, касающиеся взаимосвязанной архитектуры, компонентов и функций управления. Положения настоящего стандарта могут быть использованы при управлении доступом к информационным ресурсам, вычислительным ресурсам средств вычислительной техники, ресурсам автоматизированных (информационных) систем, средствам вычислительной техники и автоматизированным (информационным) системам в целом. Описание характеристик и качества средств управления физическим доступом, задействованных в системах управления доступом, выходят за рамки применения настоящего стандарта
Расположен в:Государственные стандарты
ГОСТ Р 59383-2021ГОСТ Р 59383-2021ГОСТ Р 59383-2021ГОСТ Р 59383-2021ГОСТ Р 59383-2021ГОСТ Р 59383-2021ГОСТ Р 59383-2021ГОСТ Р 59383-2021ГОСТ Р 59383-2021ГОСТ Р 59383-2021ГОСТ Р 59383-2021ГОСТ Р 59383-2021ГОСТ Р 59383-2021ГОСТ Р 59383-2021ГОСТ Р 59383-2021ГОСТ Р 59383-2021ГОСТ Р 59383-2021ГОСТ Р 59383-2021ГОСТ Р 59383-2021ГОСТ Р 59383-2021ГОСТ Р 59383-2021ГОСТ Р 59383-2021ГОСТ Р 59383-2021ГОСТ Р 59383-2021ГОСТ Р 59383-2021ГОСТ Р 59383-2021ГОСТ Р 59383-2021ГОСТ Р 59383-2021ГОСТ Р 59383-2021ГОСТ Р 59383-2021ГОСТ Р 59383-2021ГОСТ Р 59383-2021ГОСТ Р 59383-2021ГОСТ Р 59383-2021ГОСТ Р 59383-2021

© 2013 Ёшкин Кот :-) Карта сайта