| Обозначение: |  ГОСТ Р 59505-2021 |
| Статус: | действующий |
| Название рус.: | Измерение, управление и автоматизация промышленного процесса. Основные принципы обеспечения функциональной безопасности и защиты информации |
| Название англ.: | Industrial-process measurement, control and automation. Framework for functional safety and security |
| Дата актуализации текста: | 01.06.2021 |
| Дата актуализации описания: | 01.07.2023 |
| Дата издания: | 31.05.2021 |
| Дата введения: | 30.11.2021 |
| Аутентичен стандартам: | IEC TR 63069(2019) |
| Нормативные ссылки: | IEC 61508 (all parts);IEC 62443 (all parts) |
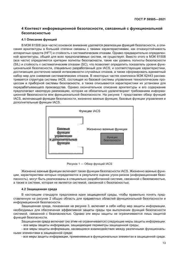
| Область применения: | В настоящем стандарте разъясняются и даются рекомендации по общему применению стандартов МЭК 61508 (все части) и МЭК 62443 (все части) в области измерения, управления и автоматизации промышленных процессов. Настоящий стандарт может применяться в других промышленных секторах, где применяются МЭК 61508 (все части) и МЭК 62443 (все части) |
|
| Расположен в: |
|