| Обозначение: |  ГОСТ Р 59428-2021 |
| Статус: | отменён |
| Название рус.: | Скрепление рельсовое промежуточное железнодорожного пути. Общие технические условия |
| Название англ.: | Intermediate rail fastening of railway track. General specifications |
| Дата актуализации текста: | 01.06.2021 |
| Дата актуализации описания: | 01.06.2025 |
| Дата издания: | 12.05.2021 |
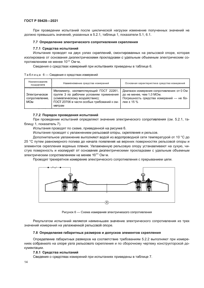
| Дата введения: | 01.01.2025 |
| Дата окончания срока действия: | 04.03.2025 |
| Нормативные ссылки: | ГОСТ 15.309; ГОСТ 27.002; ГОСТ 166; ГОСТ 427; ГОСТ 15150-69; ГОСТ 16504; ГОСТ 18321-73; ГОСТ 22261; ГОСТ 23706; ГОСТ 30630.2.5; ГОСТ 33320; ГОСТ 33477; ГОСТ Р 2.601 |
| Область применения: | Настоящий стандарт распространяется на промежуточное рельсовое скрепление (далее – скрепление) всех типов, применяемое в балластной конструкции железнодорожного пути на железобетонных шпалах и брусьях, в том числе на участках скоростного и высокоскоростного движения |
|
| Расположен в: |
|