Информационная система
«Ёшкин Кот»

Скачать базу одним архивом
Скачать обновления
История создания базы
Карта сайта

Скачать ГОСТ Р 58458-2020 Бассейны для плавания. Общие технические условия

Дата актуализации: 01.06.2025

ГОСТ Р 58458-2020

Бассейны для плавания. Общие технические условия

Обозначение: ГОСТ Р 58458-2020
Статус:действующий
Название рус.:Бассейны для плавания. Общие технические условия
Название англ.:Swimming pools. General specifications
Дата актуализации текста:01.06.2021
Дата актуализации описания:01.07.2023
Дата издания:18.01.2021
Дата введения:01.05.2021
Нормативные ссылки:ГОСТ 2.610;ГОСТ Р 2.601;ГОСТ Р 53114;ГОСТ Р 53491.1;ГОСТ Р 55529;ГОСТ Р 55908;ГОСТ Р 58877;СП 29.13330.2011;СП 51.13330.2011;СП 52.13330.2016;СП 59.13330.2016;СП 60.13330.2012;СП 118.13330.2012;СП 255.1325800.2016;СП 310.1325800.2017;СП 418.1325800.2018
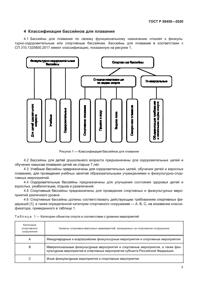
Область применения:Настоящий стандарт устанавливает требования к техническому состоянию, параметрам инфраструктуры, окружающей среде при обычных условиях эксплуатации бассейнов для плавания для обеспечения безопасности жизни, здоровья и имущества людей, являющихся потребителями физкультурно-оздоровительных услуг, а также участников и зрителей физкультурно-спортивных мероприятий, проводимых в бассейнах для плавания. Требования настоящего стандарта распространяются на организации, индивидуальных предпринимателей и физических лиц, в собственности или управлении которых находятся бассейны для плавания, предназначенные для оказания физкультурно-оздоровительных услуг, обучения детей и взрослых плаванию и для проведения физкультурно-спортивных мероприятий. Требования настоящего стандарта применяются при проведении процедуры подтверждения соответствия в форме добровольной сертификации
Расположен в:Государственные стандарты Общероссийский классификатор стандартов Бытовая техника и торговое оборудование. Отдых. Спорт Спортивный инвентарь и сооружения Спортивные сооружения
ГОСТ Р 58458-2020ГОСТ Р 58458-2020ГОСТ Р 58458-2020ГОСТ Р 58458-2020ГОСТ Р 58458-2020ГОСТ Р 58458-2020ГОСТ Р 58458-2020ГОСТ Р 58458-2020ГОСТ Р 58458-2020ГОСТ Р 58458-2020ГОСТ Р 58458-2020ГОСТ Р 58458-2020ГОСТ Р 58458-2020ГОСТ Р 58458-2020ГОСТ Р 58458-2020ГОСТ Р 58458-2020ГОСТ Р 58458-2020ГОСТ Р 58458-2020ГОСТ Р 58458-2020ГОСТ Р 58458-2020ГОСТ Р 58458-2020ГОСТ Р 58458-2020ГОСТ Р 58458-2020ГОСТ Р 58458-2020ГОСТ Р 58458-2020ГОСТ Р 58458-2020

© 2013 Ёшкин Кот :-) Карта сайта