| Обозначение: |  ГОСТ 34704-2020 |
| Статус: | действующий |
| Название рус.: | Газ природный. Определение метанового числа |
| Название англ.: | Natural combustible gas. Determination of methane number |
| Дата актуализации текста: | 01.01.2024 |
| Дата актуализации описания: | 01.01.2022 |
| Дата регистрации: | 30.11.2020 |
| Дата издания: | 21.01.2021 |
| Дата введения: | 01.07.2021 |
| Нормативные ссылки: | ГОСТ 31371.7 |
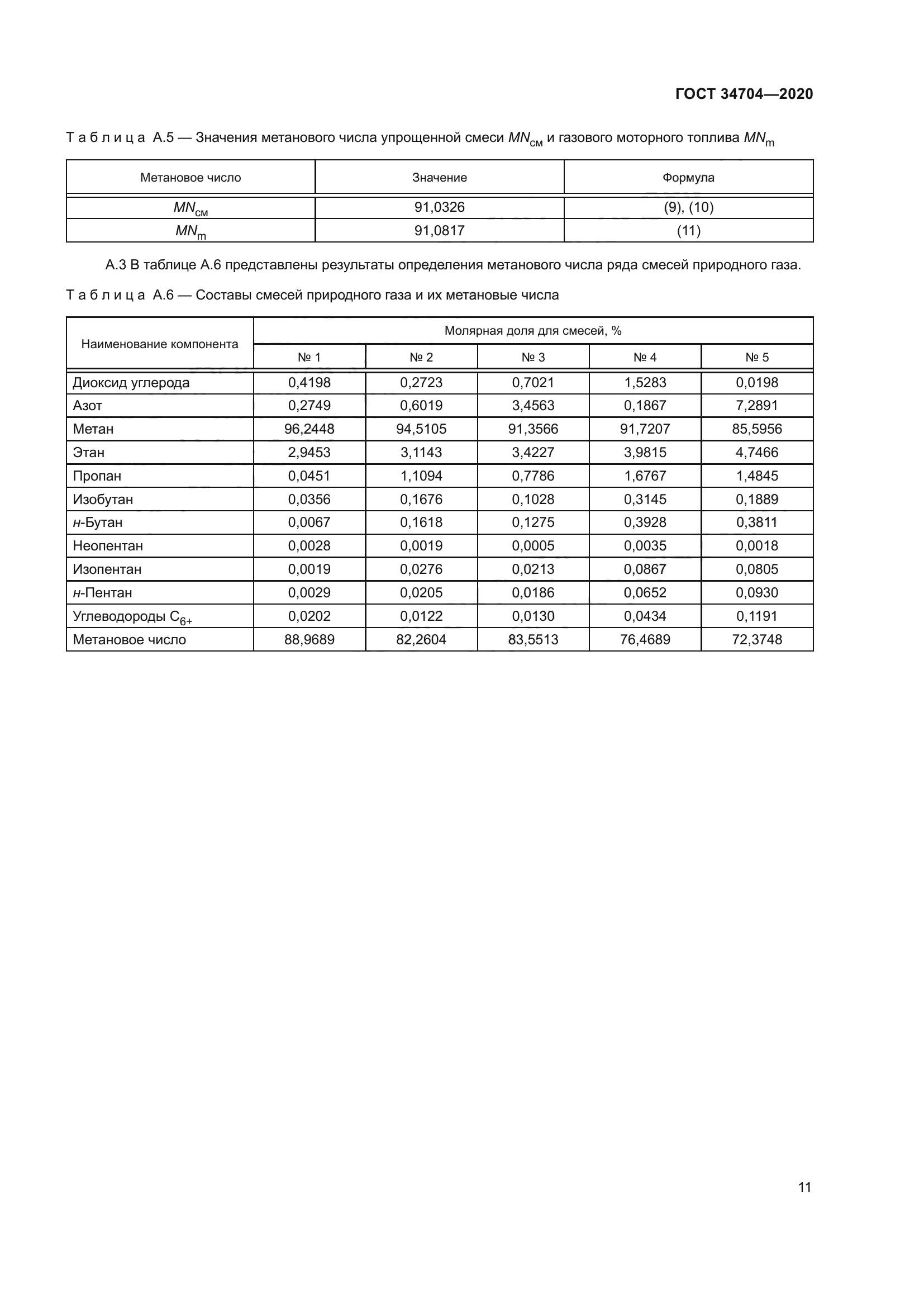
| Область применения: | Настоящий стандарт распространяется на природный газ, используемый в качестве топлива для двигателей внутреннего сгорания, и устанавливает метод вычисления метанового числа на основе известного компонентного состава. Метод определения метанового числа, приведенный в настоящем стандарте, может быть использован при разработке программного обеспечения |
| Приложение №1: | Поправка к ГОСТ 34704-2020 |
| Приложение №2: | Поправка к ГОСТ 34704-2020 |
|
| Расположен в: |
|