| Обозначение: |  ГОСТ 34479-2018 |
| Статус: | действующий |
| Название рус.: | Станки металлорежущие. Условия испытаний. Нормативно-техническое обеспечение совершенствования методов диагностирования и технологий ремонтно-восстановительных работ станочного парка |
| Название англ.: | Machine tools. Test condition. Normtechical ensuring for perfectioning of diagnostic and repair-recover work methods of all availability tools |
| Дата актуализации текста: | 01.06.2024 |
| Дата актуализации описания: | 01.07.2023 |
| Дата регистрации: | 29.11.2018 |
| Дата издания: | 30.11.2020 |
| Дата введения: | 01.08.2021 |
| Код ОКП: | 381000 |
| Нормативные ссылки: | ГОСТ ISO 230-4-2015; ГОСТ ИСО 7919-1-2002; ГОСТ Р ИСО 10816-1-97; ГОСТ 20911-89; ГОСТ 27843-2006; ГОСТ 30544-97; ГОСТ 30848-2003 |
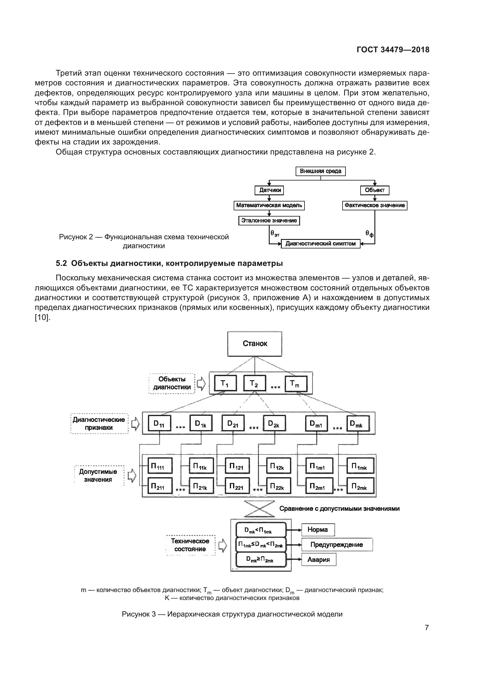
| Область применения: | Настоящий стандарт распространяется на все основные виды металлорежущих станков (МРС). Возможно его применение и для других видов обрабатывающего оборудования (деревообрабатывающие станки, КПО и пр.) с соответствующей привязкой к аналогичным деталям и узлам МРС. Стандарт представляет общие положения по организации ремонтно-восстановительных работ станочного парка, методы, способы и критерии оценки фактического состояния эксплуатируемого оборудования, в том числе на основе безразборной диагностики, как наиболее эффективного современного способа обеспечения и поддержания установленного ТУ технического уровня эксплуатируемого обрабатывающего оборудования. Организация и проведение технического обслуживания и ремонта с использованием данных по его «фактическому техническому состоянию»(ТС) - с использованием современных методов и средств диагностики технического состояния ответственных узлов, деталей и станка в целом позволяет реализовать постоянно возрастающие требования как к качеству выпускаемой продукции, так и к производительности и сроку эксплуатации обрабатывающего оборудования, повысить эффективность его технического обслуживания и ремонта (ТОиР), упреждая отказы и преждевременную потерю точности |
| Приложение №1: | Поправка к ГОСТ 34479-2018 |
|
| Расположен в: |
|