| Обозначение: |  ГОСТ Р 43.4.17-2020 |
| Статус: | действующий |
| Название рус.: | Информационное обеспечение техники и операторской деятельности. Система «человек–информация». Висцериозис информационной деятельности |
| Название англ.: | Informational ensuring of equipment and operational activity. System«man-information». Listtriosis information activities |
| Дата актуализации текста: | 01.01.2021 |
| Дата актуализации описания: | 01.07.2023 |
| Дата издания: | 24.11.2020 |
| Дата введения: | 01.03.2021 |
| Нормативные ссылки: | ГОСТ Р 43.0.1; ГОСТ Р 43.0.2; ГОСТ Р 43.0.3; ГОСТ Р 43.0.5; ГОСТ Р 43.0.6; ГОСТ Р 43.2.1; ГОСТ Р 43.4.1 |
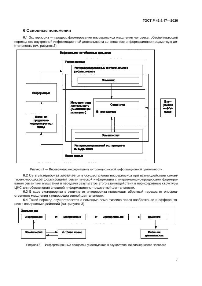
| Область применения: | Настоящий стандарт устанавливает общие и основные положения, относящиеся к висцериозису информационной (информационно-предметной) деятельности. Положения настоящего стандарта по висцериозису информационно-предметной деятельности могут быть использованы для формирования семантики мышления с осуществлением психофизиологических процессов экстериориза при проведении человекоинформационных взаимодействий (ЧИВ), образовании систем «человек–информация» (СЧИ) и возникновении информационно-обменных процессов (ИОП) |
|
| Расположен в: |
|