| Обозначение: |  ГОСТ 34658-2020 |
| Статус: | действующий |
| Название рус.: | Методы испытания по воздействию химической продукции на организм человека. Оценка раздражающего/разъедающего воздействия на глаза |
| Название англ.: | Methods of testing the impact of chemical products on the human body. Assessment of the irritant/corrosive eye exposure |
| Дата актуализации текста: | 01.01.2021 |
| Дата актуализации описания: | 01.01.2022 |
| Дата регистрации: | 30.06.2020 |
| Дата издания: | 12.11.2020 |
| Дата введения: | 01.07.2021 |
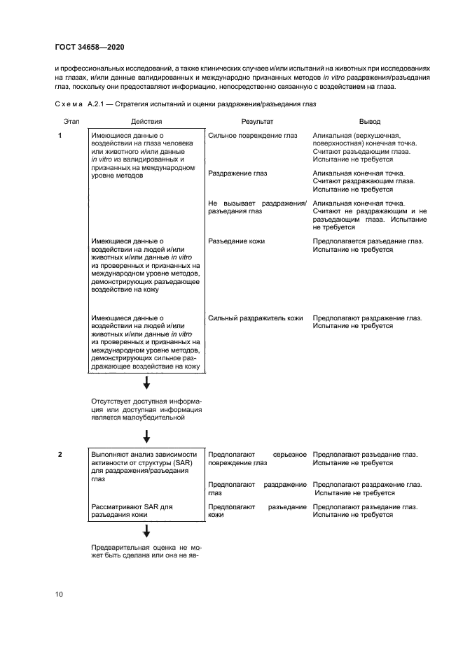
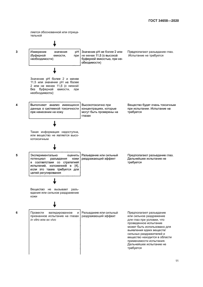
| Область применения: | Настоящий стандарт устанавливает метод оценки острого раздражающего/разъедающего действия исследуемого химического вещества на слизистые оболочки глаз путем проведения испытаний in vivo с использованием процедуры оценки весомости доказательств, при наличии достаточной информации о веществе на каждом уровне |
|
| Расположен в: |
|