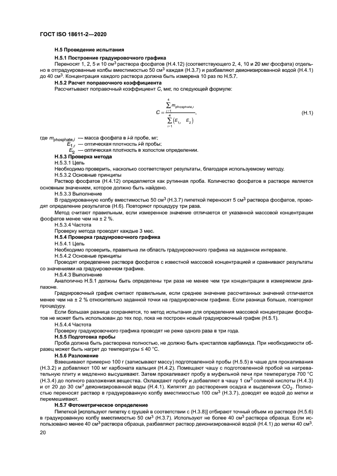
| Обозначение: |  ГОСТ ISO 18611-2-2020 |
| Статус: | действующий |
| Название рус.: | Суда и морские технологии. Восстановитель оксидов азота AUS 40. Часть 2. Методы испытаний |
| Название англ.: | Ships and marine technology. Marine NOx reduction agent AUS 40. Part 2. Test methods |
| Дата актуализации текста: | 01.01.2021 |
| Дата актуализации описания: | 01.07.2023 |
| Дата регистрации: | 31.08.2020 |
| Дата издания: | 02.11.2020 |
| Дата введения: | 01.05.2021 |
| Аутентичен стандартам: | ISO 18611-2:2014 |
| Нормативные ссылки: | ISO 3675;ISO 3696;ISO 4259;ISO 5661;ISO 5667-3;ISO 12185 |
| Область применения: | Настоящий стандарт устанавливает методы испытаний восстановителя оксидов азота (водного раствора карбамида с концентрацией 40 %) (далее AUS 40) для определения его показателей качества, установленных в ISO 18611-1. В остальных частях ISO 18611 термин «восстановитель оксидов азота AUS 40» сокращен до «AUS 40». Настоящий стандарт распространяется на требования к качеству и руководящие указания для AUS 40 для применения в морских акваториях, независимо от способа или технологии изготовления |
|
| Расположен в: |
|