| ||||||||||||||||||||||||||||||||||||||||||
 Скачать ГОСТ 34671-2020 Магистральный трубопроводный транспорт нефти и нефтепродуктов. Насосы одно-, двух- и трехвинтовые. Общие технические условияДата актуализации: 01.06.2025
 | ||||||||||||||||||||||||||||||||||||||||||
| Обозначение: | ![]()   ГОСТ 34671-2020 | 
| Статус: | действующий | 
| Название рус.: | Магистральный трубопроводный транспорт нефти и нефтепродуктов. Насосы одно-, двух- и трехвинтовые. Общие технические условия | 
| Название англ.: | Trunk pipeline transport of oil and oil products. Pumps one-, two- and threescrew. General specifications | 
| Дата актуализации текста: | 01.01.2024 | 
| Дата актуализации описания: | 01.07.2023 | 
| Дата регистрации: | 31.10.2020 | 
| Дата издания: | 21.10.2020 | 
| Дата введения: | 01.07.2021 | 
| Нормативные ссылки: |  ГОСТ 2.610; ГОСТ 9.014; ГОСТ 9.032; ГОСТ 12.1.007; ГОСТ 12.1.030; ГОСТ 12.2.049; ГОСТ 12.3.009; ГОСТ 27.002; ГОСТ 27.003; ГОСТ 305; ГОСТ 977; ГОСТ 1012; ГОСТ 1050; ГОСТ 1667; ГОСТ 2084; ГОСТ 4543; ГОСТ 5949; ГОСТ 8479; ГОСТ 8724; ГОСТ 10227; ГОСТ 10433; ГОСТ 10585; ГОСТ 12971; ГОСТ 14192; ГОСТ 15150; ГОСТ 16093; ГОСТ 17335-79; ГОСТ 21120; ГОСТ 23170; ГОСТ 24297; ГОСТ 24507; ГОСТ 24705; ГОСТ 25054; ГОСТ 28338; ГОСТ 30852.5; ГОСТ 30852.9; ГОСТ 30852.11; ГОСТ 31378; ГОСТ 31839; ГОСТ 32600; ГОСТ 34233.1;ГОСТ ISO 17769-1 | 
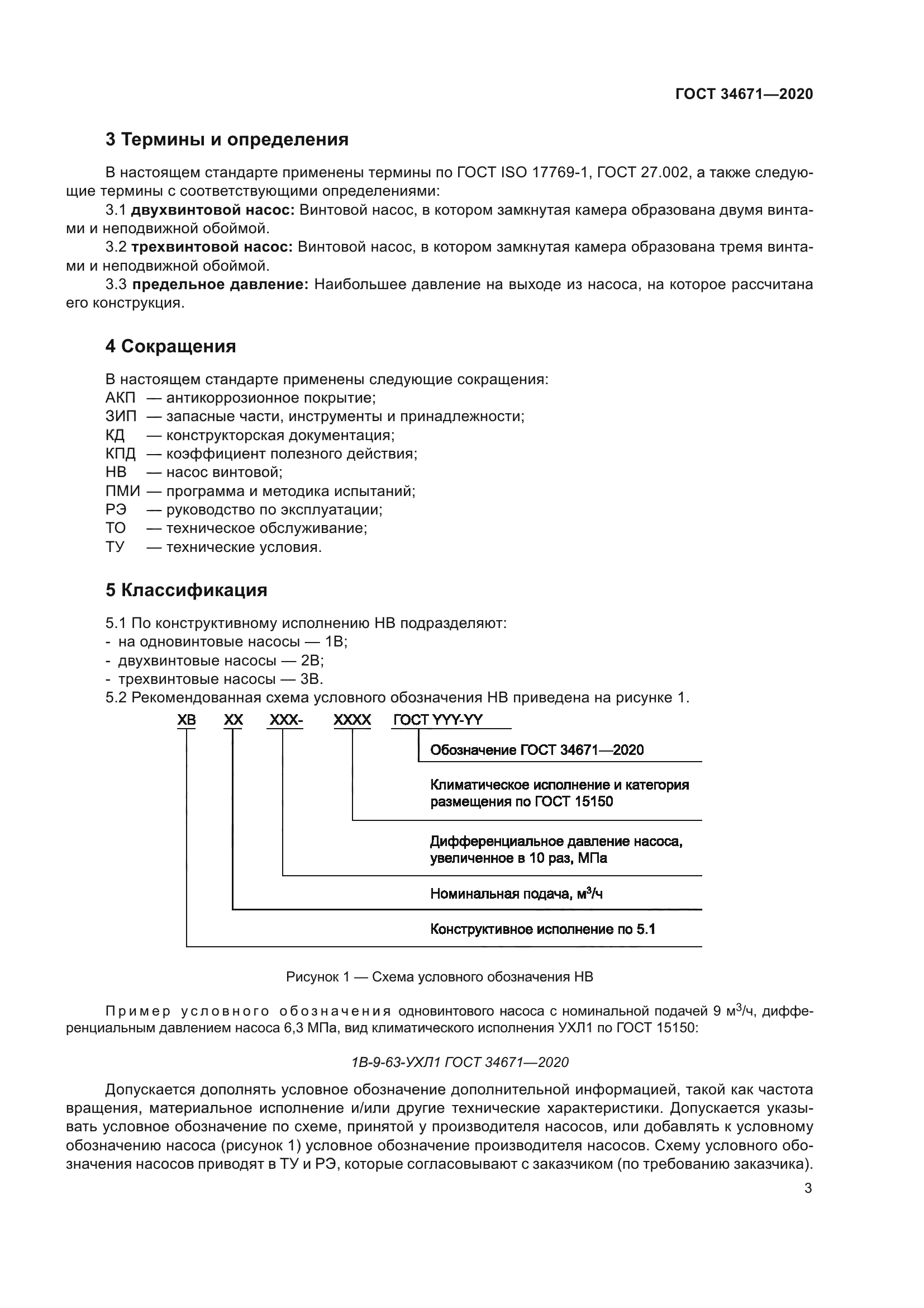
| Область применения: | Настоящий стандарт распространяется на одно-, двух- и трехвинтовые насосы и агрегаты на их основе, предназначенные для перекачивания нефти, нефтепродуктов и гидравлических масел без абразивных примесей на объектах магистрального трубопроводного транспорта нефти и нефтепродуктов | 
| Приложение №1: | Поправка к ГОСТ 34671-2020 | 
| Приложение №2: | Поправка к ГОСТ 34671-2020 | 
| Расположен в: | |


















| Обозначение: | Поправка к ГОСТ 34671-2020 | 
| Дата введения: | 26.03.2021 | 

| Обозначение: | Поправка к ГОСТ 34671-2020 | 
| Дата введения: | 28.07.2023 | 
