Информационная система
«Ёшкин Кот»

Скачать базу одним архивом
Скачать обновления
История создания базы
Карта сайта

Скачать ГОСТ Р 27.016-2020 Надежность в технике. Надежность открытых систем

Дата актуализации: 01.06.2025

ГОСТ Р 27.016-2020

Надежность в технике. Надежность открытых систем

Обозначение: ГОСТ Р 27.016-2020
Статус:действующий
Название рус.:Надежность в технике. Надежность открытых систем
Название англ.:Dependability in technics. Open systems dependability
Дата актуализации текста:01.01.2021
Дата актуализации описания:01.07.2023
Дата издания:04.09.2020
Дата введения:01.07.2021
Содержит требования:IEC 62853(2018)
Нормативные ссылки:ГОСТ 27.002;ГОСТ Р 27.003;ГОСТ Р 27.014;ГОСТ Р 27.302;ГОСТ Р ИСО 15489-1;ГОСТ Р ИСО 26000;ГОСТ Р ИСО 31000;ГОСТ Р ИСО/МЭК 31010;ГОСТ Р 51897;ГОСТ Р 51901.13;ГОСТ Р 51901.12;ГОСТ Р 51901.14;ГОСТ Р 56923;ГОСТ Р 57098;ГОСТ Р 57100;ГОСТ Р 57102;ГОСТ Р 58607;ГОСТ Р МЭК 60300-1;ГОСТ IEC 61000-4-30
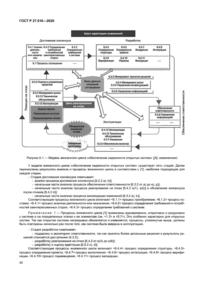
Область применения:В настоящем стандарте установлено руководство по определению требований к жизненному циклу открытой системы для обеспечения ее надежности. В настоящем стандарте детализированы требования ГОСТ Р МЭК 60300-1 по отношению к открытым системам. В стандарте определены виды анализа процесса на основании требований [1], где идентифицирован набор процессов жизненного цикла системы. Настоящий стандарт применим к стадиям жизненного цикла продукции, систем, процессов или услуг, включая аппаратные средства, программные средства и человеческий фактор или их комбинации. Для открытых систем особенно важна безопасность, так как эти системы подвержены неблагоприятным воздействиям. Настоящий стандарт может быть использован для повышения надежности открытых систем и обеспечения уверенности в том, что анализ процесса открытой системы соответствует ожидаемым результатам. Стандарт может помочь организации определить деятельность и задачи, которые должны быть выполнены для достижения целей в области надежности открытой системы, включая обмен информацией о надежности, оценку и сопоставление показателей надежности на всех стадиях жизненного цикла системы
Расположен в:Государственные стандарты Общероссийский классификатор стандартов Услуги. Организация фирм, управление и качество. Администрация. Транспорт. Социология. Организация фирм и управление ими Научные исследования и разработки Качество Качество в целом Механические системы и устройства общего назначения Характеристика и конструкция механизмов, приборов и оборудования
ГОСТ Р 27.016-2020ГОСТ Р 27.016-2020ГОСТ Р 27.016-2020ГОСТ Р 27.016-2020ГОСТ Р 27.016-2020ГОСТ Р 27.016-2020ГОСТ Р 27.016-2020ГОСТ Р 27.016-2020ГОСТ Р 27.016-2020ГОСТ Р 27.016-2020ГОСТ Р 27.016-2020ГОСТ Р 27.016-2020ГОСТ Р 27.016-2020ГОСТ Р 27.016-2020ГОСТ Р 27.016-2020ГОСТ Р 27.016-2020ГОСТ Р 27.016-2020ГОСТ Р 27.016-2020ГОСТ Р 27.016-2020ГОСТ Р 27.016-2020ГОСТ Р 27.016-2020ГОСТ Р 27.016-2020ГОСТ Р 27.016-2020ГОСТ Р 27.016-2020ГОСТ Р 27.016-2020ГОСТ Р 27.016-2020ГОСТ Р 27.016-2020ГОСТ Р 27.016-2020ГОСТ Р 27.016-2020ГОСТ Р 27.016-2020ГОСТ Р 27.016-2020ГОСТ Р 27.016-2020ГОСТ Р 27.016-2020ГОСТ Р 27.016-2020ГОСТ Р 27.016-2020ГОСТ Р 27.016-2020ГОСТ Р 27.016-2020ГОСТ Р 27.016-2020ГОСТ Р 27.016-2020ГОСТ Р 27.016-2020ГОСТ Р 27.016-2020ГОСТ Р 27.016-2020ГОСТ Р 27.016-2020ГОСТ Р 27.016-2020ГОСТ Р 27.016-2020ГОСТ Р 27.016-2020ГОСТ Р 27.016-2020ГОСТ Р 27.016-2020ГОСТ Р 27.016-2020ГОСТ Р 27.016-2020ГОСТ Р 27.016-2020ГОСТ Р 27.016-2020ГОСТ Р 27.016-2020ГОСТ Р 27.016-2020ГОСТ Р 27.016-2020ГОСТ Р 27.016-2020ГОСТ Р 27.016-2020ГОСТ Р 27.016-2020ГОСТ Р 27.016-2020ГОСТ Р 27.016-2020ГОСТ Р 27.016-2020ГОСТ Р 27.016-2020ГОСТ Р 27.016-2020ГОСТ Р 27.016-2020ГОСТ Р 27.016-2020ГОСТ Р 27.016-2020

© 2013 Ёшкин Кот :-) Карта сайта