Информационная система
«Ёшкин Кот»

Скачать базу одним архивом
Скачать обновления
История создания базы
Карта сайта

Скачать ГОСТ Р 43.4.18-2020 Информационное обеспечение техники и операторской деятельности. Система «человек–информация». Процессы информационно-обменные при осуществлении с проведением человекоинформационных взаимодействий информационной деятельности

Дата актуализации: 01.06.2025

ГОСТ Р 43.4.18-2020

Информационное обеспечение техники и операторской деятельности. Система «человек–информация». Процессы информационно-обменные при осуществлении с проведением человекоинформационных взаимодействий информационной деятельности

Обозначение: ГОСТ Р 43.4.18-2020
Статус:действующий
Название рус.:Информационное обеспечение техники и операторской деятельности. Система «человек–информация». Процессы информационно-обменные при осуществлении с проведением человекоинформационных взаимодействий информационной деятельности
Название англ.:Informational ensuring of equipment and operational activity. System «man–information». The process of information-exchange when carrying out human-information interactions activities
Дата актуализации текста:01.01.2021
Дата актуализации описания:01.07.2023
Дата издания:10.08.2020
Дата введения:01.02.2021
Нормативные ссылки:ГОСТ Р 43.0.1;ГОСТ Р 43.0.2;ГОСТ Р 43.0.3;ГОСТ Р 43.0.5;ГОСТ Р 43.0.6;ГОСТ Р 43.2.1;ГОСТ Р 43.4.1
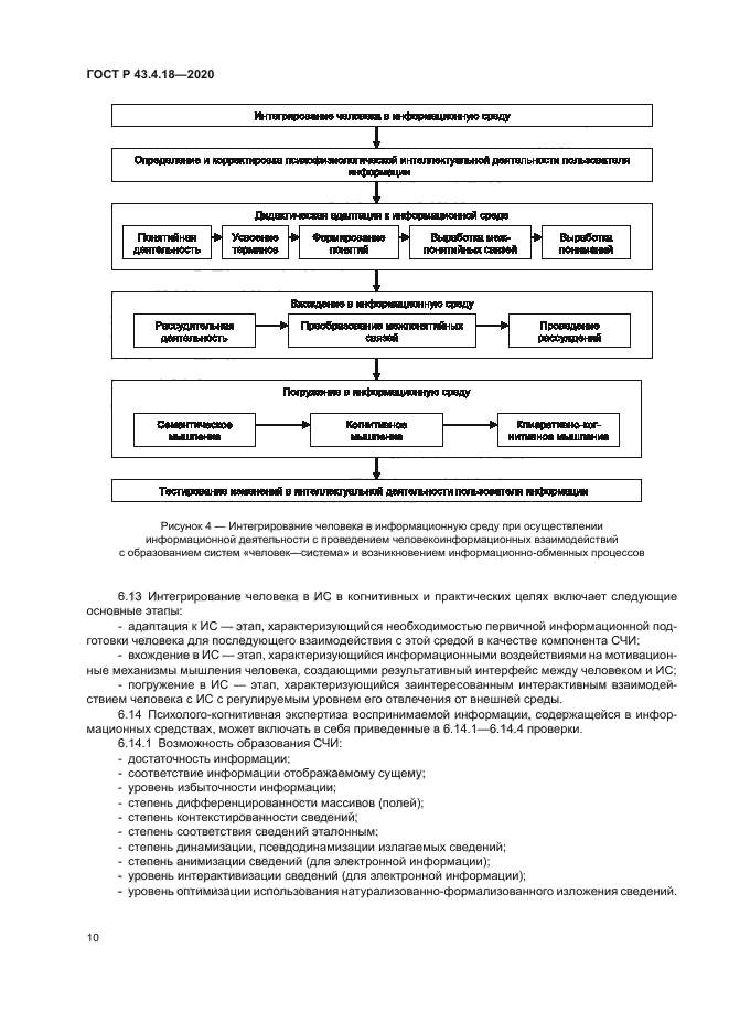
Область применения:Настоящий стандарт устанавливает общие и основные положения, относящиеся к информационно-обменным процессам (ИОП), при осуществлении с проведением человекоинформационных взаимодействий (ЧИВ) информационной деятельности. Положения настоящего стандарта, относящиеся к ИОП, возникающим при осуществлении с проведением ЧИВ информационной деятельности, могут быть применены для интеллектуализированного проведения информационной деятельности с созданием необходимых условий: - для лингвистизированного чувственного восприятия внешней технической предметно-информационной среды; - осуществления ноон-технологизации лингвистизированной технической деятельности мышления с применением ноон-технологизированной технической информации; - лингвистизированного использования технических средств поддержки обращения с техникой; - осуществления лингвистизированного информационного взаимодействия с необходимой технической предметно-информационной средой; - развития области знаний, относящейся к информационной психологии; - совершенствования и развития лингвосемантизированного человекоинформационного функционирования техносферы для осуществления образовательной, трудовой и творческой деятельности с повышенной эффективностью. Положения настоящего стандарта могут быть использованы в подготовке специалистов для безопасного с прогнозированием, эффективного и продуктивного выполнения технической деятельности при интеллектуализированнном, в том числе цифроинтеллектуализированном проведении этой деятельности специалистами, умственно владеющими языковым (лингвосемантизированным) использованием информации, обладающими способностями к самостоятельному и критическому преобразованию воспринимаемой информации, знаний с пониманием сущности отраженных в воображении предметов и явлений
Расположен в:Государственные стандарты Общероссийский классификатор стандартов Информационные технологии. Машины конторские Информационные технологии в целом
ГОСТ Р 43.4.18-2020ГОСТ Р 43.4.18-2020ГОСТ Р 43.4.18-2020ГОСТ Р 43.4.18-2020ГОСТ Р 43.4.18-2020ГОСТ Р 43.4.18-2020ГОСТ Р 43.4.18-2020ГОСТ Р 43.4.18-2020ГОСТ Р 43.4.18-2020ГОСТ Р 43.4.18-2020ГОСТ Р 43.4.18-2020ГОСТ Р 43.4.18-2020ГОСТ Р 43.4.18-2020ГОСТ Р 43.4.18-2020ГОСТ Р 43.4.18-2020ГОСТ Р 43.4.18-2020

© 2013 Ёшкин Кот :-) Карта сайта