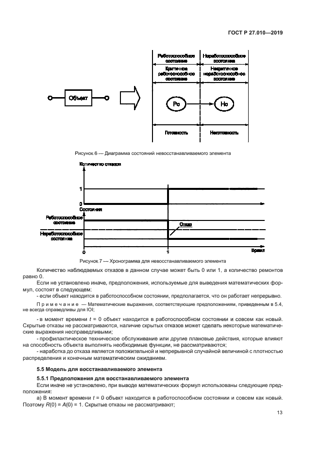
| ||||||||||||||||||||||||||||||
Скачать ГОСТ Р 27.010-2019 Надежность в технике. Математические выражения для показателей безотказности, готовности, ремонтопригодностиДата актуализации: 01.06.2025
| ||||||||||||||||||||||||||||||
| Обозначение: | ![]() ГОСТ Р 27.010-2019 |
| Статус: | действующий |
| Название рус.: | Надежность в технике. Математические выражения для показателей безотказности, готовности, ремонтопригодности |
| Название англ.: | Dependability in technics. Mathematical expressions for reliability, availability, maintainability measures |
| Дата актуализации текста: | 01.01.2021 |
| Дата актуализации описания: | 01.07.2023 |
| Дата издания: | 23.12.2019 |
| Дата введения: | 01.12.2019 |
| Содержит требования: | IEC 61703(2016) |
| Нормативные ссылки: | ГОСТ 27.002; ГОСТ 27.302; ГОСТ Р 51901.14; ГОСТ Р ИСО 3534-1; ГОСТ Р МЭК 61165; ГОСТ Р МЭК 61508-1; ГОСТ Р МЭК 61508-2; ГОСТ Р МЭК 61508-3; ГОСТ Р МЭК 61508-4; ГОСТ Р МЭК 61508-5; ГОСТ Р МЭК 61508-6; ГОСТ Р МЭК 61508-7; ГОСТ Р МЭК 61511-1; ГОСТ Р МЭК 61511-2; ГОСТ Р МЭК 61511-3 |
| Область применения: | В настоящем стандарте установлены математические выражения для показателей безотказности, готовности и ремонтопригодности, а также для показателей, характеризующих выполнение установленной задачи. Кроме того, введены некоторые новые термины. Они связаны с аспектами классификации элементов системы |
| Расположен в: | |




















































































