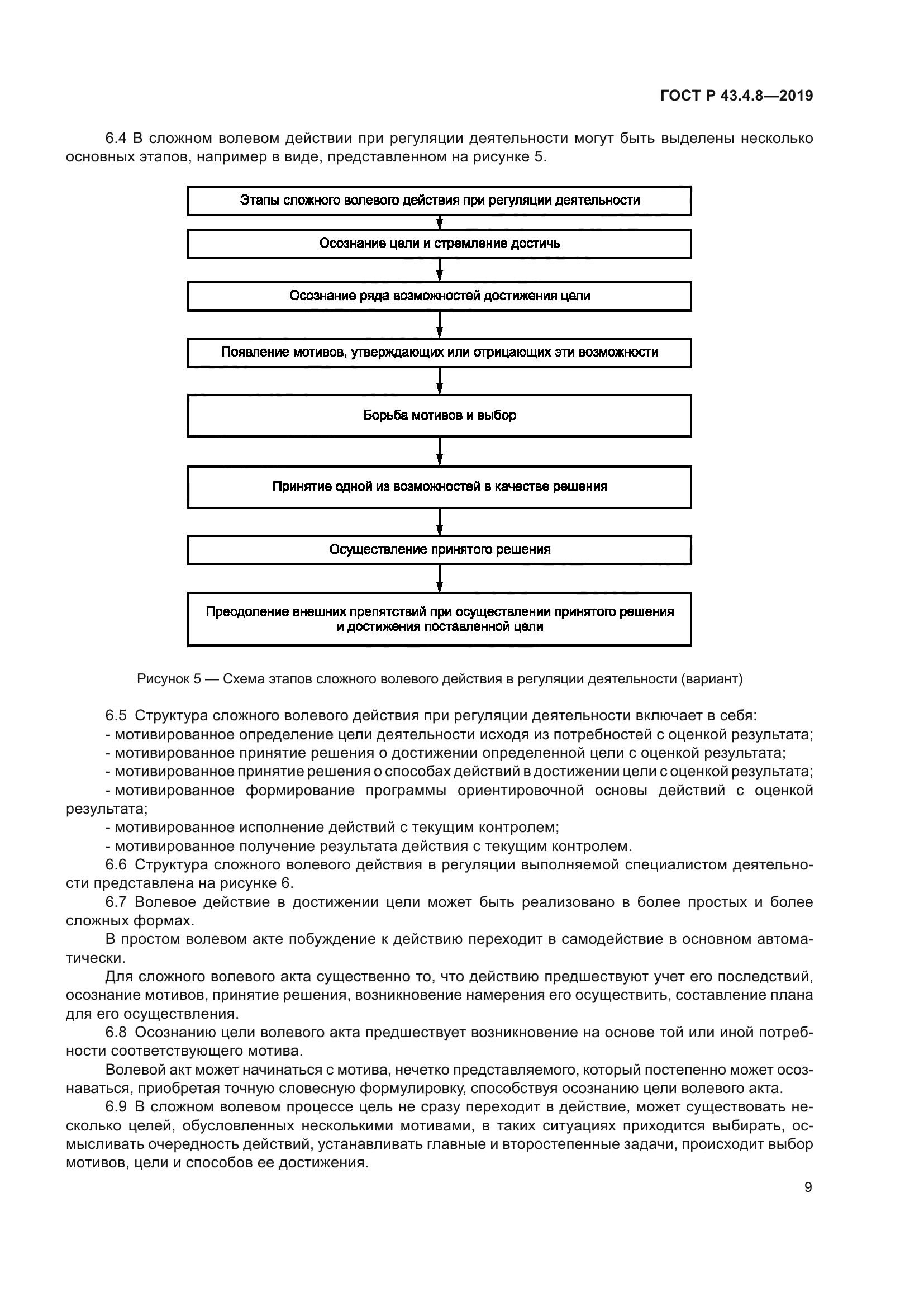
Информационная система
«Ёшкин Кот»

Скачать базу одним архивом
Скачать обновления
История создания базы
Карта сайта

Скачать ГОСТ Р 43.4.8-2019 Информационное обеспечение техники операторской деятельности. Система «человек-информация». Взаимодействие выборочно-целенаправленное человека с информацией

Дата актуализации: 01.06.2025

ГОСТ Р 43.4.8-2019

Информационное обеспечение техники операторской деятельности. Система «человек-информация». Взаимодействие выборочно-целенаправленное человека с информацией

Обозначение: ГОСТ Р 43.4.8-2019
Статус:действующий
Название рус.:Информационное обеспечение техники операторской деятельности. Система «человек-информация». Взаимодействие выборочно-целенаправленное человека с информацией
Название англ.:Informational ensuring of equipment and operational activity. System «man-information». Selective targeting human interaction with information
Дата актуализации текста:01.06.2022
Дата актуализации описания:01.07.2023
Дата издания:03.12.2019
Дата введения:01.04.2020
Нормативные ссылки:ГОСТ Р 43.0.1;ГОСТ Р 43.0.2;ГОСТ Р 43.0.3;ГОСТ Р 43.0.5;ГОСТ Р 43.0.6;ГОСТ Р 43.2.1;ГОСТ Р 43.4.1
Область применения:Настоящий стандарт устанавливает общие, основные положения по осуществлению выборочно-целенаправленного взаимодействия специалиста (человека) с воспринимаемой лингвосемантизированной информацией (ЛСИ) различного назначения и исполнения с использованием его психических свойств, относящихся к воле. Положения настоящего стандарта по осуществлению выборочно-целенаправленного взаимодействия специалиста с воспринимаемой ЛСИ могут быть использованы для выполнения этого взаимодействия с повышенной эффективностью, с учетом особенностей изложения воспринимаемой ЛСИ и умственных возможностей специалиста, адаптированных к ее восприятию. С учетом положений настоящего стандарта выполнение специалистом с повышенной эффективностью выборочно-целенаправленного взаимодействия с воспринимаемой ЛСИ и с использованием психических свойств специалиста, относящихся к воле, может достигаться при умственном немашинизированном, машинизированном (цифровизированном) проведении специалистом этого взаимодействия с воспринимаемой ЛСИ, осуществляемого при возникновении информационно-обменных процессов (ИОП) с осознанным и неосознанным образованием соответствующих функционирующих систем «человек—информация» (СЧИ) определенного временного существования, влияющих на выполнение технической деятельности с повышенной результативностью
Расположен в:Государственные стандарты Общероссийский классификатор стандартов Информационные технологии. Машины конторские Информационные технологии в целом
ГОСТ Р 43.4.8-2019ГОСТ Р 43.4.8-2019ГОСТ Р 43.4.8-2019ГОСТ Р 43.4.8-2019ГОСТ Р 43.4.8-2019ГОСТ Р 43.4.8-2019ГОСТ Р 43.4.8-2019ГОСТ Р 43.4.8-2019ГОСТ Р 43.4.8-2019ГОСТ Р 43.4.8-2019ГОСТ Р 43.4.8-2019ГОСТ Р 43.4.8-2019ГОСТ Р 43.4.8-2019ГОСТ Р 43.4.8-2019ГОСТ Р 43.4.8-2019ГОСТ Р 43.4.8-2019ГОСТ Р 43.4.8-2019ГОСТ Р 43.4.8-2019ГОСТ Р 43.4.8-2019ГОСТ Р 43.4.8-2019

© 2013 Ёшкин Кот :-) Карта сайта