| Обозначение: |    ГОСТ ISO 16231-2-2019 | 
| Статус: | действующий | 
| Название рус.: | Машины самоходные сельскохозяйственные. Оценка устойчивости. Часть 2. Определение статической устойчивости и методы испытания | 
| Название англ.: | Self-propelled agricultural machinery. Assessment of stability. Part 2. Determination of static stability and test procedures | 
| Дата актуализации текста: | 01.06.2021 | 
| Дата актуализации описания: | 01.07.2023 | 
| Дата регистрации: | 30.09.2019 | 
| Дата издания: | 19.11.2019 | 
| Дата введения: | 01.08.2020 | 
| Аутентичен стандартам: | ISO 16321-2:2015 | 
| Нормативные ссылки: | ISO 789-6:1990;ISO 16231-1:2013 | 
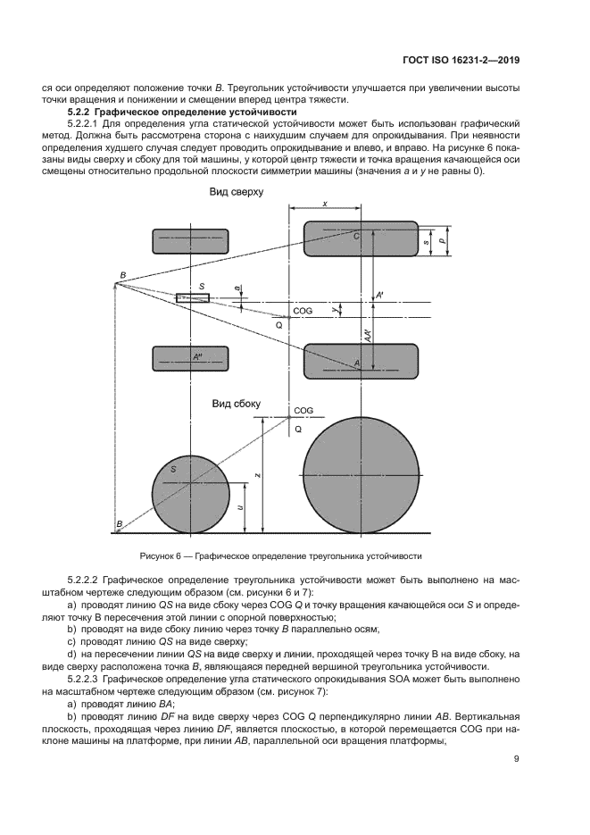
| Область применения: | Настоящий стандарт устанавливает метод определения центра тяжести ненагруженных самоходных машин, нагруженных машин, а также машин, агрегатированных дополнительным оборудованием, и методы определения угла статического опрокидывания | 
| Приложение №1: | Поправка к ГОСТ ISO 16231-2-2019 | 
 | 
| Расположен в: | 
  |