| Обозначение: |  ГОСТ Р 58648.2-2019 |
| Статус: | действующий |
| Название рус.: | Модули фотоэлектрические. Определение рабочих характеристик и энергетическая оценка. Часть 2. Определение спектральной чувствительности, зависимости характеристик от угла падения и коэффициентов для расчета рабочей температуры |
| Название англ.: | Photovoltaic module. Performance testing and energy rating. Part 2. Determination of spectral sensitivity, characteristics dependence on the incidence angle and coefficients for calculating the operating temperature |
| Дата актуализации текста: | 01.01.2021 |
| Дата актуализации описания: | 01.07.2023 |
| Дата издания: | 18.11.2019 |
| Дата введения: | 01.06.2020 |
| Содержит требования: | IEC 61853-2(2016) |
| Нормативные ссылки: | ГОСТ ИСО/МЭК 17025; ГОСТ Р 56980-2016; ГОСТ Р 56983; ГОСТ Р 57229; ГОСТ Р МЭК 60891; ГОСТ Р МЭК 60904-1-2013; ГОСТ Р МЭК 60904-2; ГОСТ Р МЭК 60904-3; ГОСТ Р МЭК 60904-5; ГОСТ Р МЭК 60904-7; ГОСТ Р МЭК 60904-8; ГОСТ Р МЭК 60904-9; ГОСТ Р МЭК 60904-10; ГОСТ Р МЭК 61646; ГОСТ Р МЭК 61853-1-2013 |
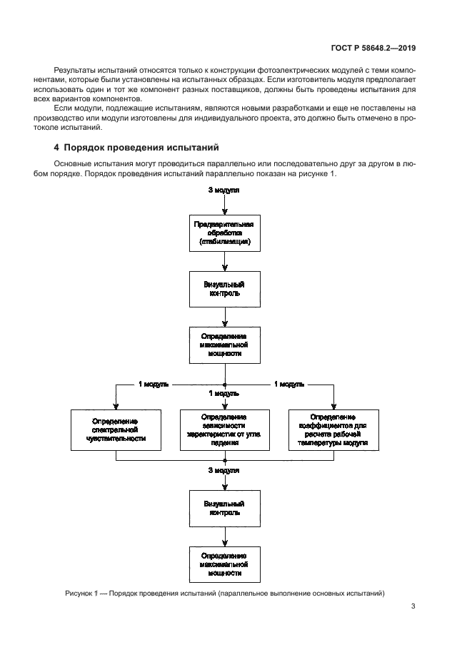
| Область применения: | Настоящий стандарт распространяется на наземные фотоэлектрические модули. Стандарт устанавливает методы определения спектральной чувствительности и рабочей температуры фотоэлектрических модулей, а также зависимости их характеристик от угла падения излучения. Настоящий стандарт может быть неприменим к фотоэлектрическим модулям, характеристики которых меняются в течение срока службы модулей (например, под воздействием освещения или температуры) или характеристики которых существенно нелинейны. При испытаниях двусторонних фотоэлектрических модулей или фотоэлектрических модулей с многопереходными фотоэлектрическими элементами в испытания следует внести коррективы, учитывающие отличия испытаний таких модулей |
|
| Расположен в: |
|