| Обозначение: |  ГОСТ 34465.2-2018 |
| Статус: | действующий |
| Название рус.: | Краны грузоподъемные. Органы управления. Расположение и характеристики. Часть 2. Краны стреловые самоходные |
| Название англ.: | Cranes. Controls. Layout and characteristics. Part 2. Mobile cranes |
| Дата актуализации текста: | 01.06.2024 |
| Дата актуализации описания: | 01.07.2023 |
| Дата регистрации: | 28.09.2018 |
| Дата издания: | 31.10.2019 |
| Дата введения: | 01.06.2020 |
| Взамен: | ГОСТ 27551-87 |
| Нормативные ссылки: | ГОСТ 33709.1; ГОСТ 33709.2; ГОСТ 34465.1 |
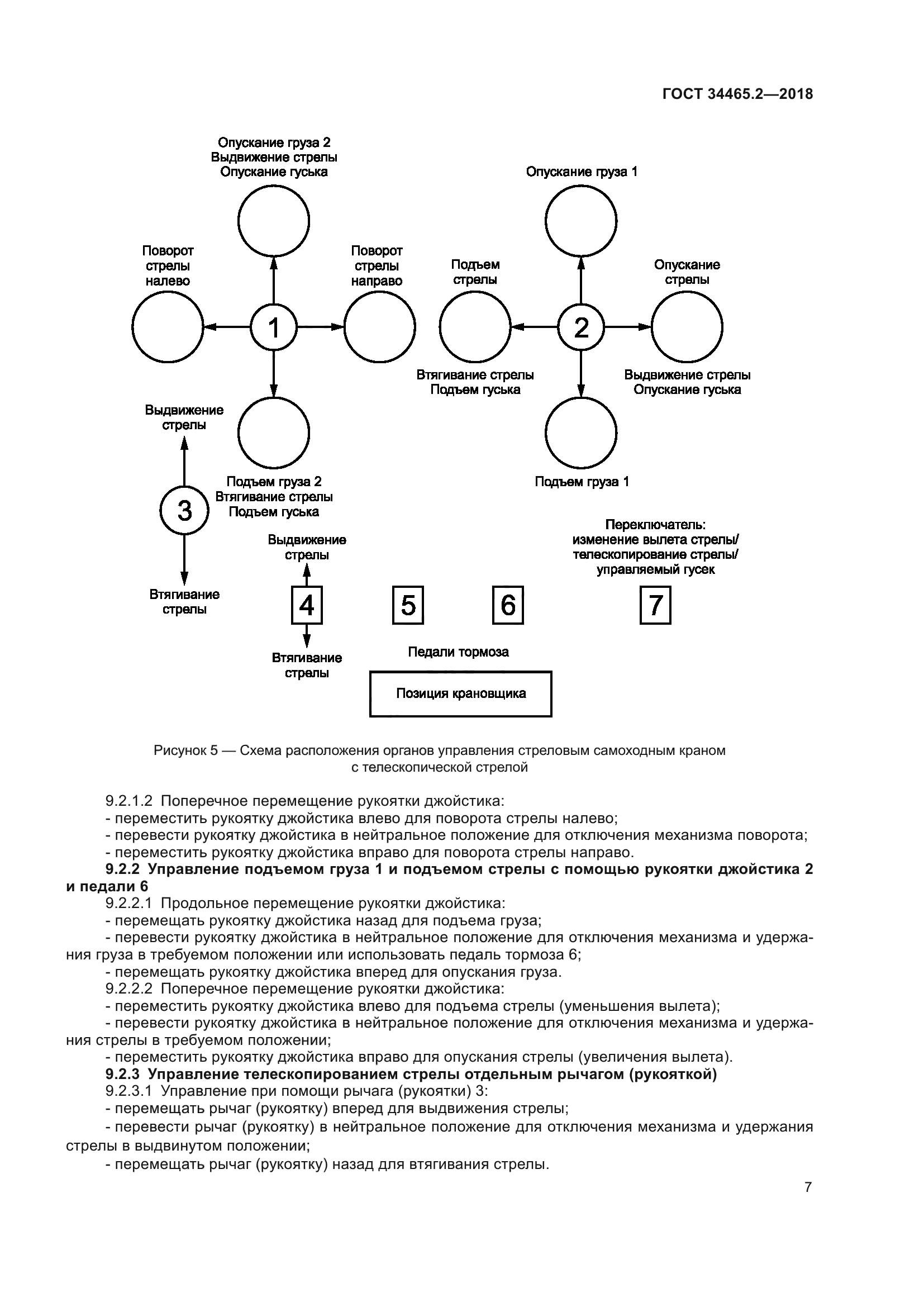
| Область применения: | Настоящий стандарт устанавливает схемы расположения и требования к органам управления стреловых самоходных кранов по ГОСТ 33709.1 в дополнение к требованиям ГОСТ 34465.1. Настоящий стандарт распространяется на все виды стреловых самоходных кранов в соответствии с ГОСТ 33709.2. Настоящий стандарт применим ко всем новым кранам, изготовленным по истечении одного года после его утверждения. Он не имеет целью требовать замены или модернизации существующего оборудования. Однако при модернизации оборудования необходимо руководствоваться требованиями настоящего стандарта. Если их выполнение влечет за собой существенные изменения конструкции, то возможность и необходимость приведения оборудования в соответствие с этими требованиями должен определять изготовитель (проектировщик), а при его отсутствии - эксперт, последующие изменения должны быть выполнены владельцем (пользователем) в течение одного года |
| Приложение №1: | Поправка к ГОСТ 34465.2-2018 |
| Приложение №2: | Поправка к ГОСТ 34465.2-2018 |
| Приложение №3: | Поправка к ГОСТ 34465.2-2018 |
|
| Расположен в: |
|