| Обозначение: |    ГОСТ 34465.3-2019 | 
| Статус: | действующий | 
| Название рус.: | Краны грузоподъемные. Органы управления. Расположение и характеристики. Часть 3. Краны башенные | 
| Название англ.: | Cranes. Controls. Layout and characteristics. Part 3. Tower cranes | 
| Дата актуализации текста: | 01.01.2024 | 
| Дата актуализации описания: | 01.07.2023 | 
| Дата регистрации: | 30.09.2019 | 
| Дата издания: | 29.10.2019 | 
| Дата введения: | 01.06.2020 | 
| Нормативные ссылки: |  ГОСТ 33709.1; ГОСТ 33709.3; ГОСТ 34465.1 | 
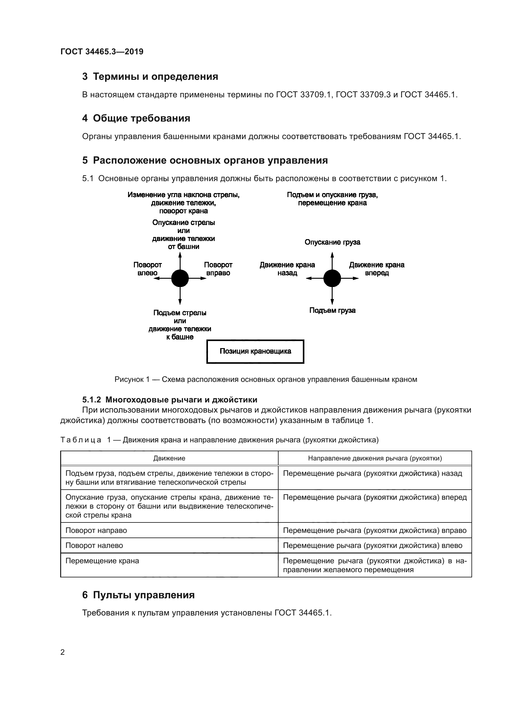
| Область применения: | Настоящий стандарт устанавливает схемы расположения и требования к органам управления башенных кранов по ГОСТ 33709.1 в дополнение к требованиям ГОСТ 34465.1. Настоящий стандарт распространяется на все виды башенных кранов в соответствии с ГОСТ 33709.3 | 
| Приложение №1: | Поправка к ГОСТ 34465.3-2019 | 
 | 
| Расположен в: | 
  |