| Обозначение: |  ГОСТ Р 113.38.02-2019 |
| Статус: | действующий |
| Название рус.: | Наилучшие доступные технологии. Методические рекомендации по оценке затрат предприятий электроэнергетики по снижению выбросов загрязняющих веществ для достижения ими технологических показателей наилучших доступных технологий |
| Название англ.: | Best available techniques. Guidelines for estimating the cost of power industry enterprises to reduce emissions of pollutants to achieve the technological indicators of the best available techniques |
| Дата актуализации текста: | 01.01.2021 |
| Дата актуализации описания: | 01.07.2023 |
| Дата издания: | 18.09.2019 |
| Дата введения: | 01.05.2020 |
| Нормативные ссылки: | ГОСТ 19431; ГОСТ 26691; ГОСТ Р 51852; ГОСТ Р 54974 |
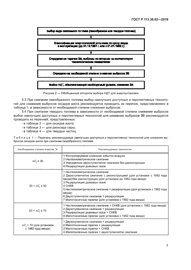
| Область применения: | Настоящий стандарт распространяется на деятельность по производству электрической и тепловой энергии на тепловых электростанциях (ТЭС), отнесенных на основании [1] к I категории предприятий, то есть к предприятиям, оказывающим значительное негативное воздействие на окружающую среду |
|
| Расположен в: |
|