| Обозначение: |  ГОСТ Р ИСО 15746-2-2019 |
| Статус: | действующий |
| Название рус.: | Системы промышленной автоматизации и интеграция. Интеграция возможностей усовершенствованного управления технологическими процессами и оптимизациии для производственных систем. Часть 2. Модели действия и обмен информацией |
| Название англ.: | Industrial automation systems and integration. Integration of advanced process control and optimization capabilities for manufacturing systems. Part 2. Activity models and information exchange |
| Дата актуализации текста: | 01.02.2020 |
| Дата актуализации описания: | 01.01.2021 |
| Дата издания: | 03.10.2019 |
| Дата введения: | 01.01.2020 |
| Аутентичен стандартам: | ISO 15746-2:2017 |
| Нормативные ссылки: | ISO 15746-1 |
| Область применения: | Настоящий стандарт устанавливает: - модели действий для описания динамических аспектов АРС-О модулей; - требования к обмену информацией касательно динамических аспектов АРС-О модулей; - рабочие процессы и жизненные циклы АРС-О элементов; - определения сервисов по поддержке информационного обмена между: - компонентами Уровня 3 и компонентами АРС-О; - компонентами Уровня 2 и компонентами АРС-О; - компонентами АРС-О одной или нескольких АРС-О систем |
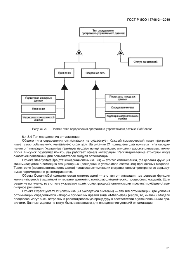
|
| Расположен в: |
|