| ||||||||||||||||||||||||||||||
Скачать ГОСТ Р ИСО 22400-2-2019 Системы промышленной автоматизации и интеграция. Ключевые технико-экономические показатели (KPIs) для управления производственными операциями. Часть 2. Определения и описанияДата актуализации: 01.06.2025
| ||||||||||||||||||||||||||||||
| Обозначение: | ![]() ГОСТ Р ИСО 22400-2-2019 |
| Статус: | действующий |
| Название рус.: | Системы промышленной автоматизации и интеграция. Ключевые технико-экономические показатели (KPIs) для управления производственными операциями. Часть 2. Определения и описания |
| Название англ.: | Industrial automation systems and integration. Key performance indicators (KPIs) for manufacturing operations management. Part 2. Definitions and descriptions |
| Дата актуализации текста: | 01.02.2020 |
| Дата актуализации описания: | 01.01.2021 |
| Дата издания: | 15.10.2019 |
| Дата введения: | 01.01.2020 |
| Взамен: | ГОСТ Р ИСО 22400-2-2016 |
| Аутентичен стандартам: | ISO 22400-2:2014 |
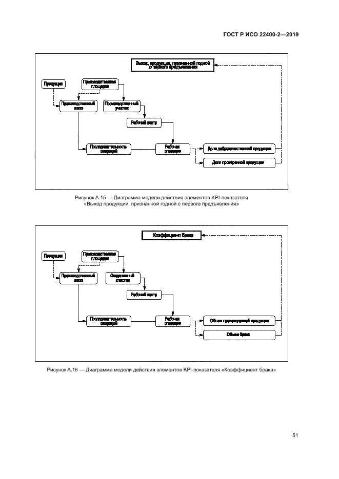
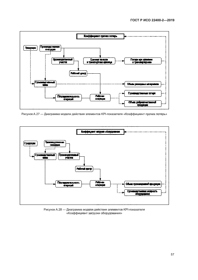
| Область применения: | В комплексе стандартов ИСО 22400 определены ключевые технико-экономические показатели (KPI-показатели), используемые для управления производственными (технологическими) операциями/процессами (MOM). В настоящем стандарте определены KPI-показатели, применяемые в современной практике и представленные с помощью формул и соответствующих элементов, описания динамики (характера изменений во времени), единиц измерений/величин и других характеристик. В настоящем стандарте также указаны группы пользователей, которые должны использовать данные KPI-показатели, а также методологию производства, которой они соответствуют |
| Расположен в: | |








































































