| Обозначение: |  ГОСТ Р 58539-2019 |
| Статус: | действующий |
| Название рус.: | Информационные технологии. Концепция интероперабельности на основе метамоделей. Часть 1. Основные положения |
| Название англ.: | Information technology. Metamodel framework for interoperability (MFI). Part 1. Framework and classes |
| Дата актуализации текста: | 01.06.2022 |
| Дата актуализации описания: | 01.01.2021 |
| Дата издания: | 19.11.2019 |
| Дата введения: | 01.01.2020 |
| Содержит требования: | ISO/IEC 19763-1:2015 |
| Нормативные ссылки: | ГОСТ Р ИСО/МЭК 11179-3 |
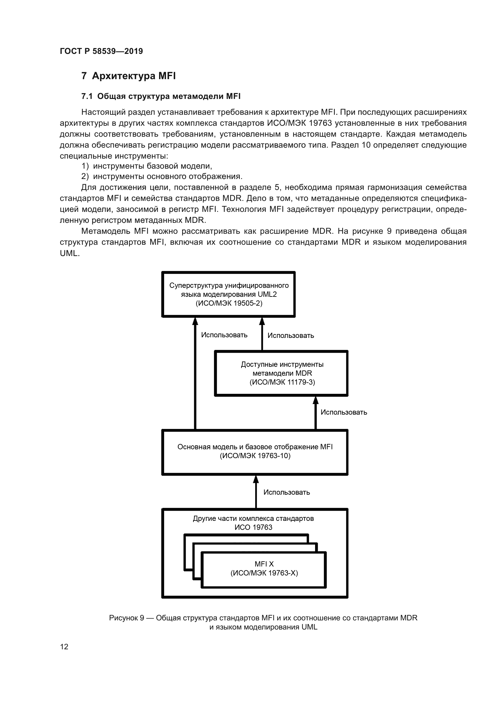
| Область применения: | В настоящем стандарте определены цели применения, основные понятия, общая архитектура и базовые требования к метамоделям MFI.Технология MFI устанавливает набор нормативных метамоделей, обеспечивающих занесение различных типов моделей в регистр. Для представления метамодели используется унифицированный язык моделирования UML |
|
| Расположен в: |
|