| Обозначение: |  ГОСТ Р 58546-2019 |
| Статус: | действующий |
| Название рус.: | Интеграция систем управления предприятием. Часть 6. Модель службы обмена сообщениями |
| Название англ.: | Enterprise-control system integration. Part 6. Messaging service model |
| Дата актуализации текста: | 01.01.2021 |
| Дата актуализации описания: | 01.07.2023 |
| Дата издания: | 15.10.2019 |
| Дата введения: | 01.01.2020 |
| Содержит требования: | IEC/PAS 62264-6(2016) |
| Нормативные ссылки: | ГОСТ Р МЭК 62264-1; ГОСТ Р МЭК 62264-2; ГОСТ Р МЭК 62264-5 |
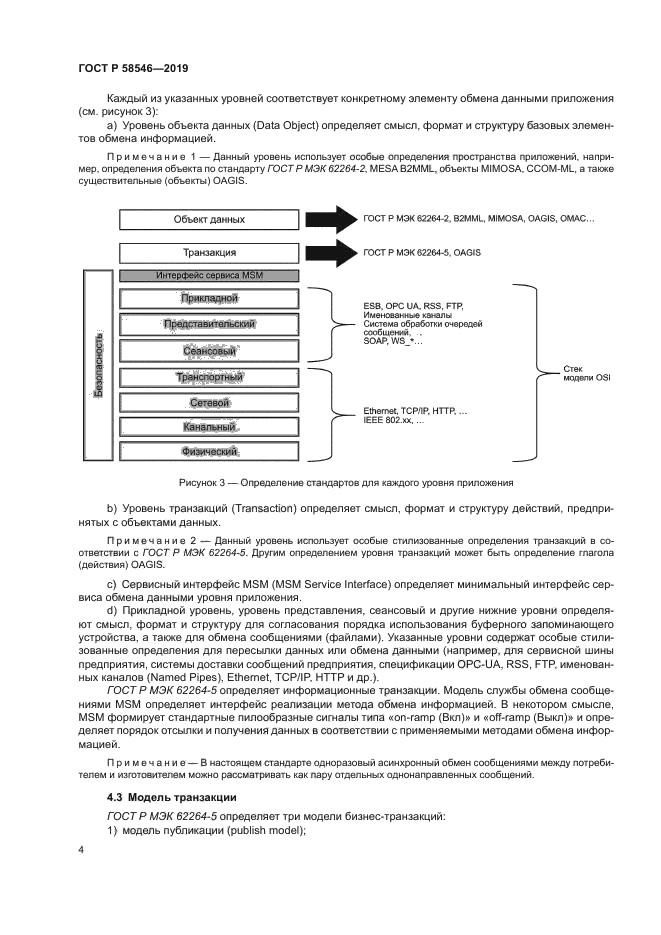
| Область применения: | Настоящий стандарт определяет модель набора сервисов пересылки сообщений для обмена информацией между уровнями 3 и 4, на уровне 3, между коммерческими приложениями и производственными процессами. Настоящий стандарт определяет стандартный интерфейс обмена информацией между системами |
|
| Расположен в: |
|