| Обозначение: |  ГОСТ Р ИСО 9999-2019 |
| Статус: | действующий |
| Название рус.: | Вспомогательные средства для людей с ограничениями жизнедеятельности. Классификация и терминология |
| Название англ.: | Assistive products for persons with disability. Classification and terminology |
| Дата актуализации текста: | 10.10.2019 |
| Дата актуализации описания: | 01.01.2021 |
| Дата издания: | 27.09.2019 |
| Дата введения: | 01.04.2020 |
| Взамен: | ГОСТ Р ИСО 9999-2014 |
| Аутентичен стандартам: | ISO 9999:2016 |
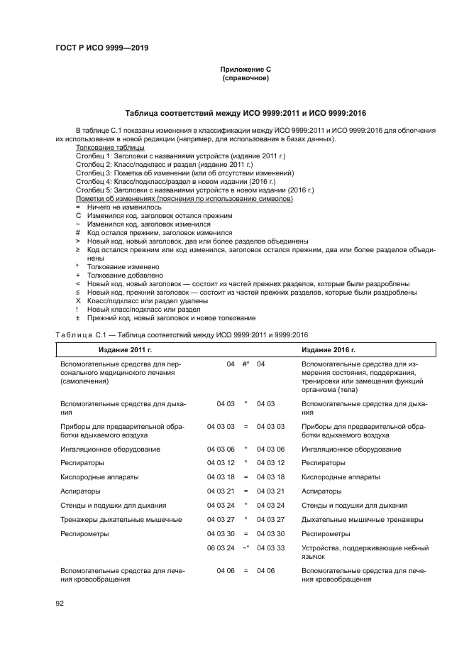
| Область применения: | Настоящий стандарт устанавливает классификацию и терминологию вспомогательных средств, специально изготовленных или общедоступных, для людей с ограничениями жизнедеятельности. В настоящую классификацию включены вспомогательные средства, используемые людьми с ограничениями жизнедеятельности самостоятельно или требующие помощи других людей для их эксплуатации |
|
| Расположен в: |
|