| Обозначение: |  ГОСТ 34560-2019 |
| Статус: | действующий |
| Название рус.: | Гидропривод объемный. Процедура оценки и верификации чистоты собранных гидросистем |
| Название англ.: | Hydraulic fluid power. Evaluation and verification procedures of cleanliness of assembled systems |
| Дата актуализации текста: | 01.01.2021 |
| Дата актуализации описания: | 01.01.2021 |
| Дата регистрации: | 30.07.2019 |
| Дата издания: | 27.09.2019 |
| Дата введения: | 01.12.2019 |
| Взамен: | ГОСТ ИСО/ТС 16431-2007 |
| Содержит требования: | ISO 16431:2012 |
| Нормативные ссылки: | ГОСТ ИСО 4407 |
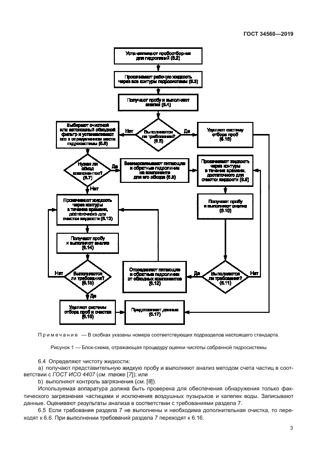
| Область применения: | Настоящий стандарт устанавливает методы: а) измерения чистоты рабочей жидкости в собранной гидравлической системе; b) проверки требуемой чистоты системы после выхода с производства; c) очистки системы до требуемого уровня чистоты, при необходимости |
|
| Расположен в: |
|