| Обозначение: |  ГОСТ Р 58488-2019 |
| Статус: | действующий |
| Название рус.: | Решета пробивные для зерна. Общие технические условия |
| Название англ.: | Breakdown sieves for grain. General specifications |
| Дата актуализации текста: | 10.10.2019 |
| Дата актуализации описания: | 01.07.2023 |
| Дата издания: | 12.09.2019 |
| Дата введения: | 01.07.2020 |
| Нормативные ссылки: | ГОСТ 5582; ГОСТ 14918; ГОСТ 15150; ГОСТ 16523; ГОСТ 19904; ГОСТ 21631; ГОСТ Р 52246 |
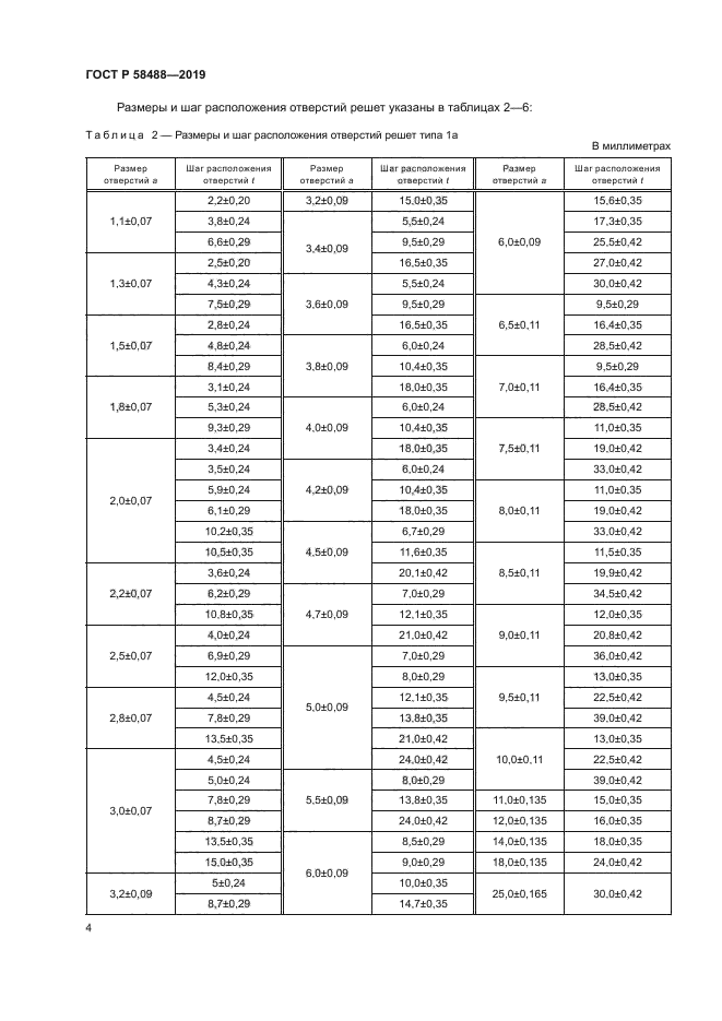
| Область применения: | Настоящий стандарт распространяется на пробивные решета для зерна (далее - решета), предназначенные для установки в машины для обработки сельскохозяйственных культур |
|
| Расположен в: |
|