| Обозначение: |  ГОСТ 34527-2019 |
| Статус: | действующий |
| Название рус.: | Табак и табачные изделия. Сопротивление затяжке сигарет и перепад давления фильтрпалочек. Стандартные условия и измерение |
| Название англ.: | Tobacco and tobacco products. Draw resistance of cigarettes and pressure drop of filter rods. Standard conditions and measurement |
| Дата актуализации текста: | 01.01.2021 |
| Дата актуализации описания: | 01.07.2023 |
| Дата регистрации: | 30.04.2019 |
| Дата издания: | 02.08.2019 |
| Дата введения: | 01.01.2020 |
| Взамен: | ГОСТ ИСО 6565-2003 |
| Содержит требования: | ISO 6565:2015 |
| Нормативные ссылки: | ГОСТ ISO 3308; ГОСТ ИСО 3402; ГОСТ Р ИСО 5725-1-2002; ГОСТ Р ИСО 5725-2-2002; ГОСТ Р ИСО 5725-3-2002; ГОСТ Р ИСО 5725-4-2002; ГОСТ Р ИСО 5725-5-2002; ГОСТ Р ИСО 5725-6-2002 |
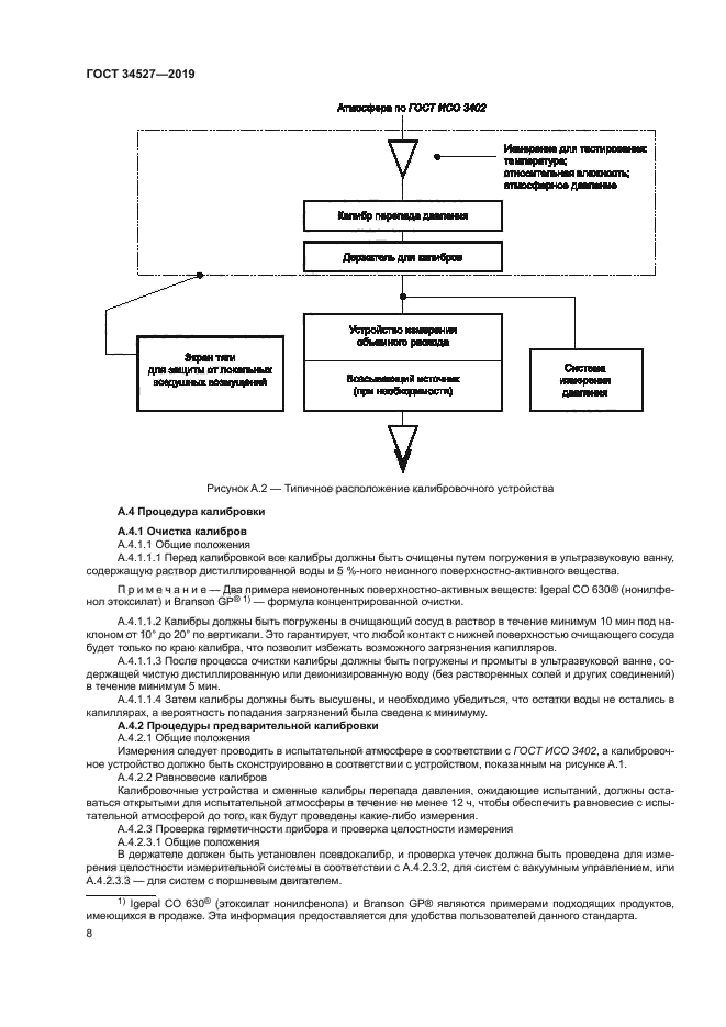
| Область применения: | Настоящий стандарт распространяется на сигареты, фильтрпалочки и другие цилиндрические табачные изделия, похожие на сигареты и устанавливает метод измерения сопротивления затяжке сигарет и перепада давления фильтрпалочек, а также стандартные условия при их измерении |
|
| Расположен в: |
|