| ||||||||||||||||||||||||||||||
Скачать ГОСТ Р 58439.1-2019 Организация информации об объектах капитального строительства. Информационный менеджмент в строительстве с использованием технологии информационного моделирования. Часть 1. Понятия и принципыДата актуализации: 01.06.2025
| ||||||||||||||||||||||||||||||
| Обозначение: | ![]() ГОСТ Р 58439.1-2019 |
| Статус: | отменён |
| Название рус.: | Организация информации об объектах капитального строительства. Информационный менеджмент в строительстве с использованием технологии информационного моделирования. Часть 1. Понятия и принципы |
| Название англ.: | Organization of information about capital construction facilities. Information management using in construction information modelling technology. Part 1. Concepts and principles |
| Дата актуализации текста: | 10.10.2019 |
| Дата актуализации описания: | 01.07.2023 |
| Дата издания: | 16.07.2019 |
| Дата введения: | 01.09.2019 |
| Дата окончания срока действия: | 06.02.2020 |
| Нормативные ссылки: | ГОСТ Р 55.0.01-2014; ГОСТ Р 58439.2-2019; ГОСТ Р ИСО 9001-2015; ГОСТ Р ИСО 12006-2; ГОСТ Р ИСО 12006-3; ГОСТ Р ИСО 21500; ГОСТ Р ИСО/МЭК 27000 |
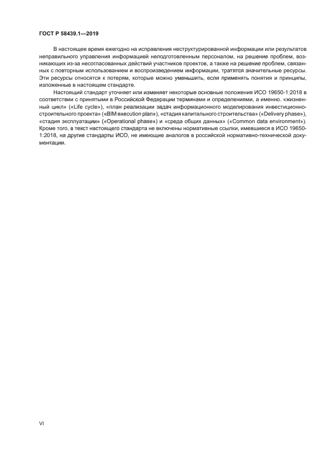
| Область применения: | Настоящий стандарт содержит общие понятия и принципы, регламентирующие процессы управления информацией, характерные информационному моделированию для уровня зрелости 2, а также уровней 1 и 3 (см. рисунок 1). Настоящий стандарт содержит требования по созданию структуры управления информацией, включающей обмен, запись, поддержку версионности данных и организацию деятельности всех участников (акторов). Настоящий стандарт применим ко всему жизненному циклу объекта капитального строительства, включая обоснование инвестиций, инженерные изыскания, проектирование, строительство (в том числе консервацию), эксплуатацию (в том числе текущие ремонты), реконструкцию, капитальный ремонт, снос здания или сооружения |
| Расположен в: | |



































