Информационная система
«Ёшкин Кот»

Скачать базу одним архивом
Скачать обновления
История создания базы
Карта сайта

Скачать ГОСТ Р 58395-2019 Теплоаккумулирующие источники тепла на твердом топливе. Общие требования и методы испытаний

Дата актуализации: 01.06.2025

ГОСТ Р 58395-2019

Теплоаккумулирующие источники тепла на твердом топливе. Общие требования и методы испытаний

Обозначение: ГОСТ Р 58395-2019
Статус:действующий
Название рус.:Теплоаккумулирующие источники тепла на твердом топливе. Общие требования и методы испытаний
Название англ.:Slow heat release appliances fired by solid fuel. General requirements and test methods
Дата актуализации текста:01.06.2022
Дата актуализации описания:01.07.2023
Дата издания:18.04.2019
Дата введения:01.06.2019
Аутентичен стандартам:DIN EN 15250:2007
Нормативные ссылки:ISO 334:1992;ISO 351:1996;ISO 501:2003;ISO 562:1998;ISO 609:1996;ISO 687:2004;ISO 1171:1997;ISO 1928:1995;ISO 2859;ISO11722:1999;EN 50165:1997
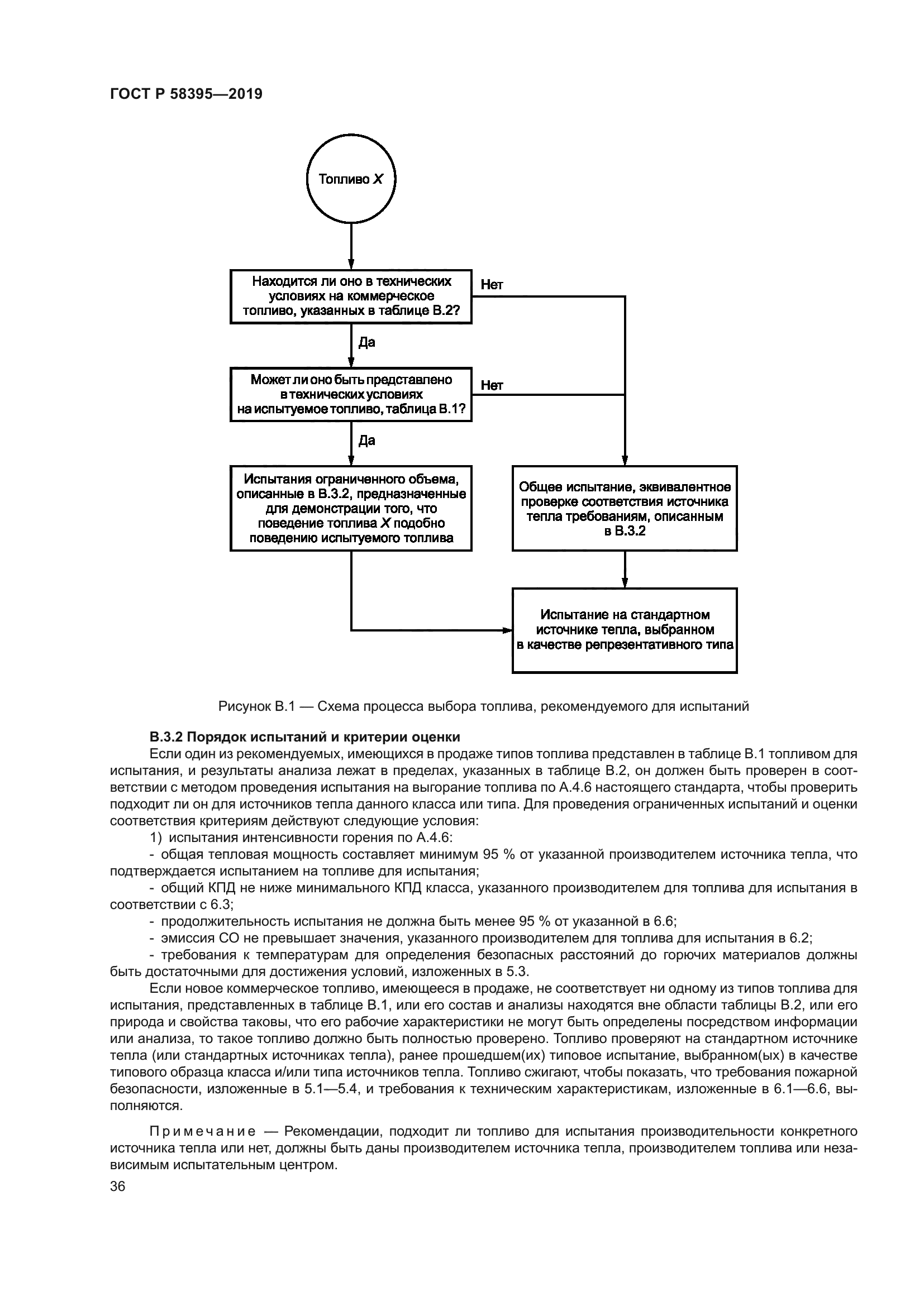
Область применения:Настоящий стандарт устанавливает требования к проектированию, изготовлению, конструкции, безопасности и производительности (КПД и эмиссии вредных веществ), инструкции по использованию и маркировке источников тепла на твердом топливе для отопления помещений, а также требования к соответствующим методам испытаний и типам топлива для проведения типовых испытаний. Настоящий стандарт распространяется на теплоаккумулирующие источники тепла с загрузкой топлива вручную, которые способны отдавать тепло в течение определенного времени после окончания процесса горения топлива. Настоящий стандарт устанавливает минимальное время, за которое температура внешней поверхности источника тепла достигает максимального значения, а также время, за которое температура внешней поверхности источника тепла снижается до 50% от максимального значения. Данные источники тепла обогревают те помещения, в которых они установлены
Расположен в:Государственные стандарты Общероссийский классификатор стандартов Охрана окружающей среды, защита человека от воздействия окружающей среды. Безопасность Защита от пожаров Огнестойкость строительных материалов и элементов
ГОСТ Р 58395-2019ГОСТ Р 58395-2019ГОСТ Р 58395-2019ГОСТ Р 58395-2019ГОСТ Р 58395-2019ГОСТ Р 58395-2019ГОСТ Р 58395-2019ГОСТ Р 58395-2019ГОСТ Р 58395-2019ГОСТ Р 58395-2019ГОСТ Р 58395-2019ГОСТ Р 58395-2019ГОСТ Р 58395-2019ГОСТ Р 58395-2019ГОСТ Р 58395-2019ГОСТ Р 58395-2019ГОСТ Р 58395-2019ГОСТ Р 58395-2019ГОСТ Р 58395-2019ГОСТ Р 58395-2019ГОСТ Р 58395-2019ГОСТ Р 58395-2019ГОСТ Р 58395-2019ГОСТ Р 58395-2019ГОСТ Р 58395-2019ГОСТ Р 58395-2019ГОСТ Р 58395-2019ГОСТ Р 58395-2019ГОСТ Р 58395-2019ГОСТ Р 58395-2019ГОСТ Р 58395-2019ГОСТ Р 58395-2019ГОСТ Р 58395-2019ГОСТ Р 58395-2019ГОСТ Р 58395-2019ГОСТ Р 58395-2019ГОСТ Р 58395-2019ГОСТ Р 58395-2019ГОСТ Р 58395-2019ГОСТ Р 58395-2019ГОСТ Р 58395-2019ГОСТ Р 58395-2019ГОСТ Р 58395-2019ГОСТ Р 58395-2019ГОСТ Р 58395-2019ГОСТ Р 58395-2019ГОСТ Р 58395-2019ГОСТ Р 58395-2019ГОСТ Р 58395-2019ГОСТ Р 58395-2019

© 2013 Ёшкин Кот :-) Карта сайта