| Обозначение: |    ГОСТ Р ИСО 13703-2018 | 
| Статус: | действующий | 
| Название рус.: | Нефтяная и газовая промышленность. Проектирование и монтаж трубопроводных систем на морских добывающих платформах | 
| Название англ.: | Petroleum and natural gas industries. Design and installation of piping systems on offshore production platforms | 
| Дата актуализации текста: | 01.06.2019 | 
| Дата актуализации описания: | 01.07.2023 | 
| Дата издания: | 28.12.2018 | 
| Дата введения: | 01.04.2019 | 
| Аутентичен стандартам: | ISO 13703:2000 | 
| Нормативные ссылки: | ISO 13623;API RP 520-2;ASME;ASME B 31.3;NACE MR0175;NACE TM0177;NACE TM0284 | 
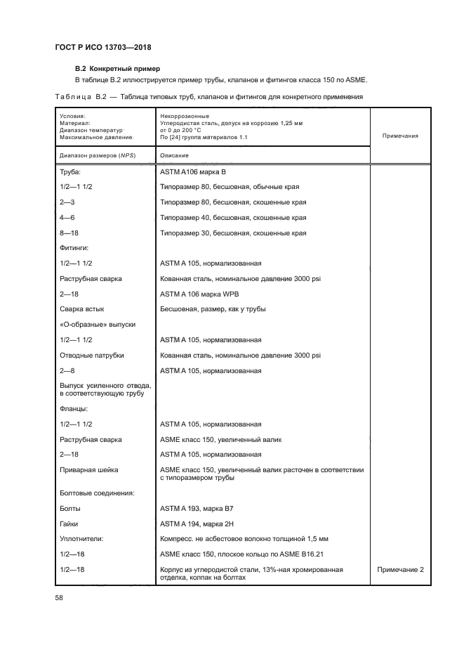
| Область применения: | Настоящий стандарт устанавливает минимальные требования и является руководством по проектированию и монтажу новых трубопроводных систем на морских добывающих платформах в нефтяной и газовой промышленности. Он предназначен для трубных систем с максимальным давлением до 69 МПа в пределах диапазона температур материалов, соответствующих требованиям ASME B31.3 | 
 | 
| Расположен в: | 
  |