Информационная система
«Ёшкин Кот»

Скачать базу одним архивом
Скачать обновления
История создания базы
Карта сайта

Скачать ГОСТ ISO 24443-2016 Продукция косметическая солнцезащитная. Метод определения in vitro величины защитного фактора от ультрафиолетового излучения спектра А

Дата актуализации: 01.06.2025

ГОСТ ISO 24443-2016

Продукция косметическая солнцезащитная. Метод определения in vitro величины защитного фактора от ультрафиолетового излучения спектра А

Обозначение: ГОСТ ISO 24443-2016
Статус:действующий
Название рус.:Продукция косметическая солнцезащитная. Метод определения in vitro величины защитного фактора от ультрафиолетового излучения спектра А
Дата актуализации текста:01.06.2024
Дата актуализации описания:01.01.2025
Дата регистрации:27.07.2016
Дата издания:15.02.2024
Дата введения:01.01.2025
Аутентичен стандартам:ISO 24443:2012
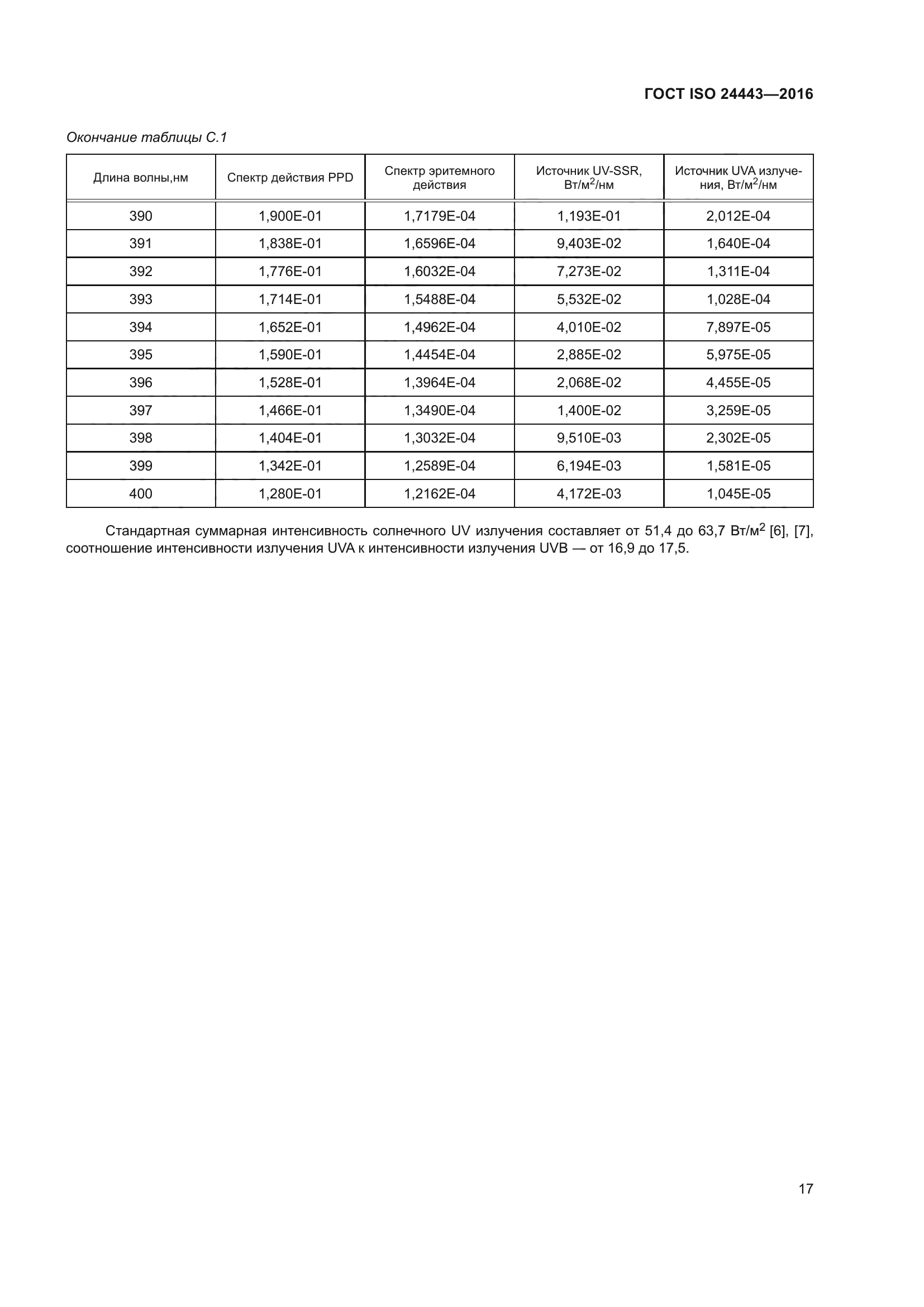
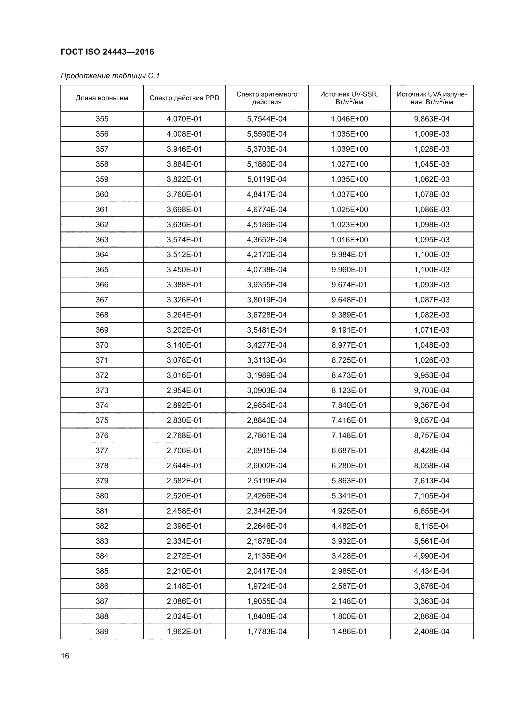
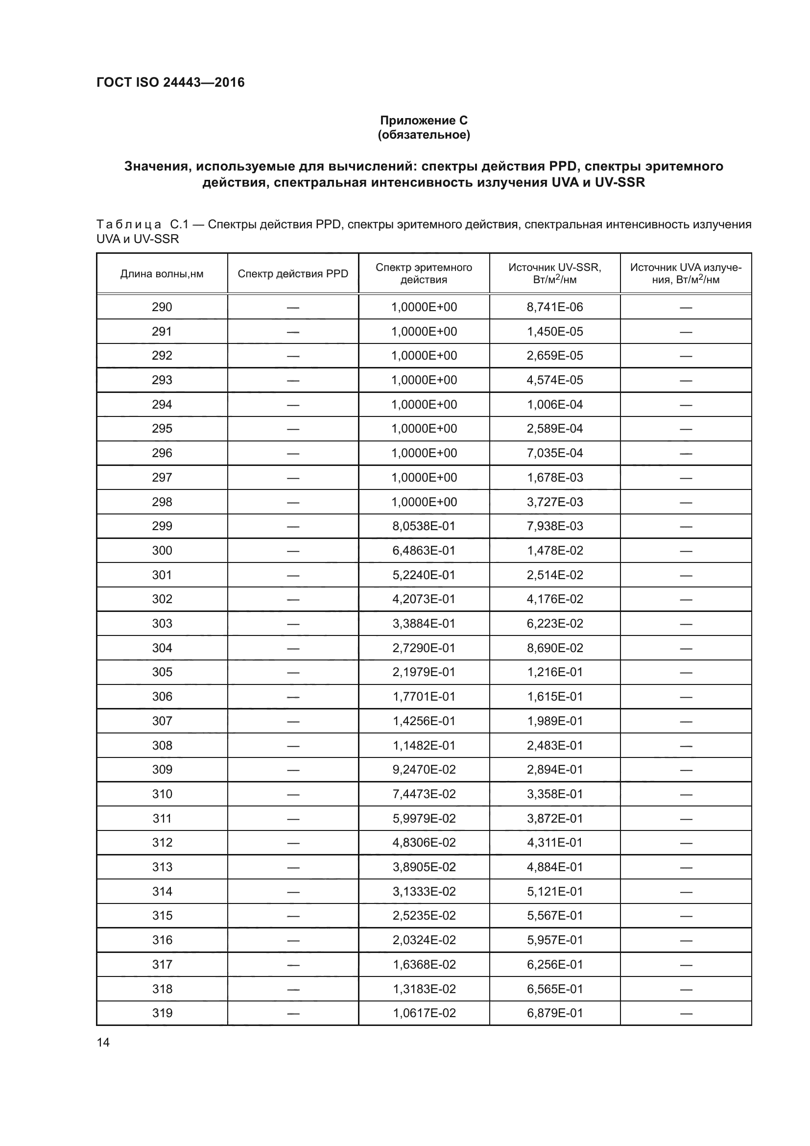
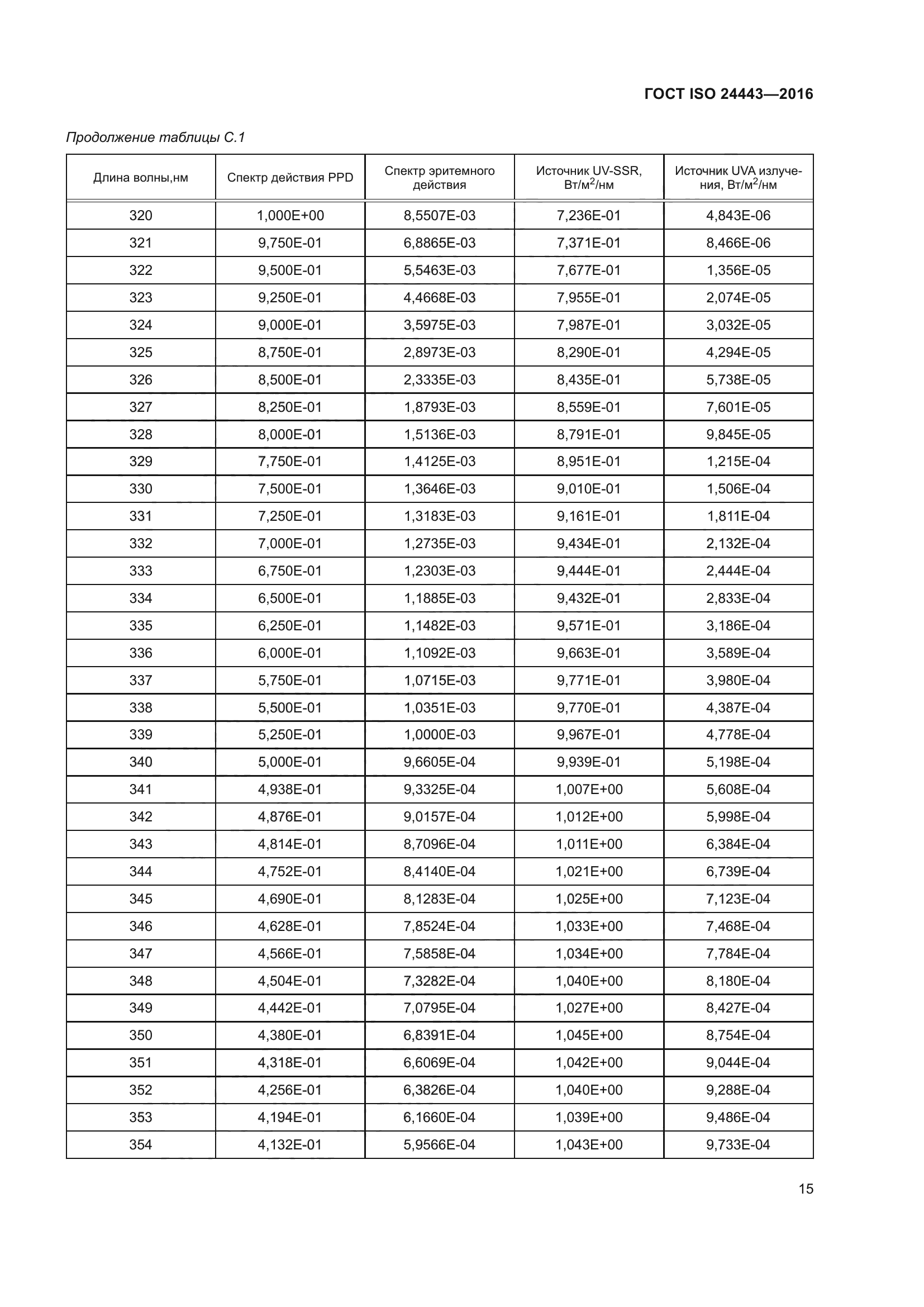
Область применения:Настоящий стандарт устанавливает метод (in vitro) определения величины защитного фактора от ультрафиолетового излучения спектра А (UVA излучения) солнцезащитной продукции. Метод настоящего стандарта позволяет получить кривую спектрального поглощения, с помощью которой можно провести ряд вычислений и оценок. Они включают определение защитного фактора от ультрафиолетовых лучей спектра А (UVAPF) [который коррелируется с UVAPF, полученным методом (in vivo) «стойкого потемнения пигмента» (PPD)], критической длины волны и линейной зависимости UVA поглощения. Определение данных показателей требуется в том случае, если это предусмотрено национальным законодательством по маркировке солнцезащитной продукции
Расположен в:Государственные стандарты Общероссийский классификатор стандартов Химическая промышленность Продукты химической промышленности Косметика, туалетные принадлежности
ГОСТ ISO 24443-2016ГОСТ ISO 24443-2016ГОСТ ISO 24443-2016ГОСТ ISO 24443-2016ГОСТ ISO 24443-2016ГОСТ ISO 24443-2016ГОСТ ISO 24443-2016ГОСТ ISO 24443-2016ГОСТ ISO 24443-2016ГОСТ ISO 24443-2016ГОСТ ISO 24443-2016ГОСТ ISO 24443-2016ГОСТ ISO 24443-2016ГОСТ ISO 24443-2016ГОСТ ISO 24443-2016ГОСТ ISO 24443-2016ГОСТ ISO 24443-2016ГОСТ ISO 24443-2016ГОСТ ISO 24443-2016ГОСТ ISO 24443-2016ГОСТ ISO 24443-2016ГОСТ ISO 24443-2016ГОСТ ISO 24443-2016ГОСТ ISO 24443-2016ГОСТ ISO 24443-2016ГОСТ ISO 24443-2016ГОСТ ISO 24443-2016ГОСТ ISO 24443-2016

© 2013 Ёшкин Кот :-) Карта сайта