| Обозначение: |  ГОСТ 34438.2-2018 |
| Статус: | действующий |
| Название рус.: | Трубы бурильные и другие элементы бурильных колонн в нефтяной и газовой промышленности. Часть 2. Основные параметры и контроль резьбовых упорных соединений. Общие технические требования |
| Название англ.: | Drill pipes and other elements of drilling equipment for petroleum and natural gas industries. Part 2. Basic parameters and inspection of thread shouldered connection. General technical requirements |
| Дата актуализации текста: | 01.01.2021 |
| Дата актуализации описания: | 01.07.2023 |
| Дата регистрации: | 27.07.2018 |
| Дата издания: | 28.11.2018 |
| Дата введения: | 01.07.2019 |
| Содержит требования: | ISO 10424-2:2007 |
| Нормативные ссылки: | ГОСТ 9.301-86; ГОСТ 9.302-88; ГОСТ 11708-82; ГОСТ 28487-90; ГОСТ 32696-2014 |
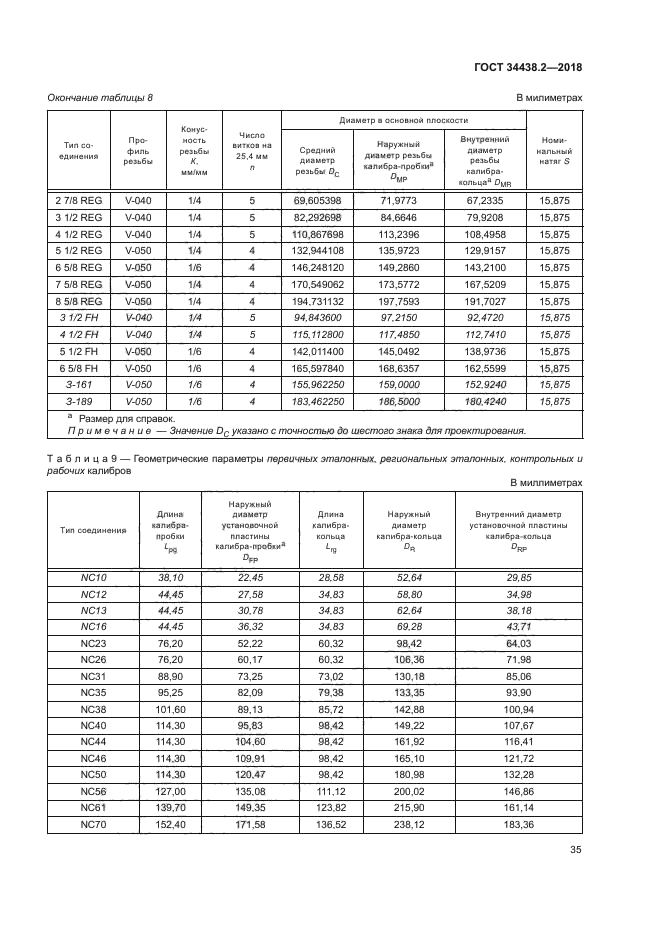
| Область применения: | Настоящий стандарт устанавливает требования к резьбовым упорным соединениям бурильных труб и других элементов бурильных колонн, используемых в нефтяной и газовой промышленности. В настоящем стандарте приведены обязательные требования к геометрическим параметрам резьбовых упорных соединений и их покрытию, дополнительные требования к разгрузочным элементам, контрольным меткам, холодному деформационному упрочнению и приработке соединений, а также правила приемки и методы проведения контроля соединений, требования к применяемым для контроля резьбовым калибрам и рекомендации по применению измерительных приборов. Настоящий стандарт распространяется на следующие типы резьбовых упорных соединений: - FH-тип соединения с широким проходным отверстием с профилем резьбы V-040 или V-050. - NC-соединение нумерационного типа с профилем резьбы V-038R. - REG-соединение обычного типа с профилем резьбы V-040, V-050 или V-055. - З-тип замкового соединения по ГОСТ 28487 с профилем резьбы V-038 или V-040 или V-050 или V-055 |
| Приложение №1: | Поправка к ГОСТ 34438.2-2018 |
|
| Расположен в: |
|