| Обозначение: |  ГОСТ 10300-80 |
| Статус: | действующий |
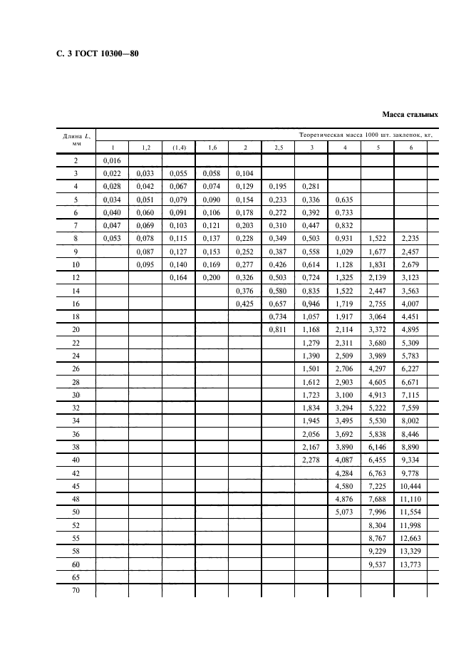
| Название рус.: | Заклепки с потайной головкой классов точности В и С. Технические условия |
| Название англ.: | Countersunk-head rivets classes B and C. Specifications |
| Дата актуализации текста: | 06.04.2015 |
| Дата актуализации описания: | 01.01.2021 |
| Дата издания: | 01.11.2004 |
| Дата введения: | 01.01.1981 |
| Код ОКП: | 459710 |
| Взамен: | ГОСТ 10300-68 |
| Содержит требования: | СТ СЭВ 1020-78 |
| Нормативные ссылки: | ГОСТ 10304-80 |
| Область применения: | Настоящий стандарт распространяется на заклепки с потайной головкой общемашиностроительного применения с диаметром стержня от 1 до 36 мм классов точности В и С |
| Список изменений: | №1 от 01.01.1986 (рег. 23.04.1985) «Срок действия продлен» №2 от 01.01.1991 (рег. 24.06.1990) «Поправка» |
|
| Расположен в: |
|