| Обозначение: |  ГОСТ 24341-80 |
| Статус: | действующий |
| Название рус.: | Пресс-формы съемные многоместные для изготовления резинотканевых опорных колец. Конструкция и размеры |
| Название англ.: | Portable multi-impressions press moulds for manufacturing rubber-fabric carrier rings. Design and dimensions |
| Дата актуализации текста: | 06.04.2015 |
| Дата актуализации описания: | 01.07.2023 |
| Дата издания: | 01.12.2003 |
| Дата введения: | 01.01.1982 |
| Код ОКП: | 396381 |
| Нормативные ссылки: | ГОСТ 9.306-85; ГОСТ 26.008-85; ГОСТ 4543-71; ГОСТ 14901-93; ГОСТ 22704-77; ГОСТ 24339-80; ГОСТ 24342-80 |
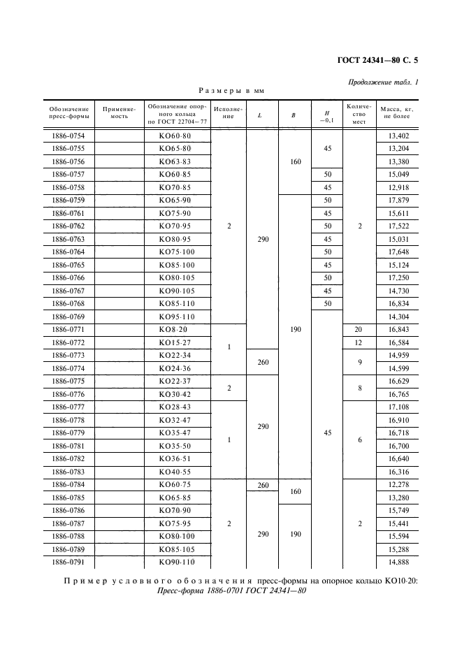
| Область применения: | Настоящий стандарт распространяется на съемные многоместные пресс-формы для изготовления резинотканевых опорных колец для уплотнения штоков диаметром от 8 до 95 мм и цилиндров диаметром от 20 до 110 мм |
| Список изменений: | №1 от 01.03.1993 (рег. 09.10.1992) «Срок действия продлен» |
|
| Расположен в: |
|