| Обозначение: |  ГОСТ Р 55608-2018 |
| Статус: | отменён |
| Название рус.: | Единая энергетическая система и изолированно работающие энергосистемы. Оперативно-диспетчерское управление. Переключения в электроустановках. Общие требования |
| Название англ.: | United power system and isolated power systems. Operative-dispatch management. Switching in electrical facilities. General requirements |
| Дата актуализации текста: | 01.01.2021 |
| Дата актуализации описания: | 01.12.2024 |
| Дата издания: | 29.10.2018 |
| Дата введения: | 01.03.2019 |
| Дата окончания срока действия: | 15.08.2024 |
| Взамен: | ГОСТ Р 55608-2013 |
| Нормативные ссылки: | ГОСТ Р 56302; ГОСТ Р 57114 |
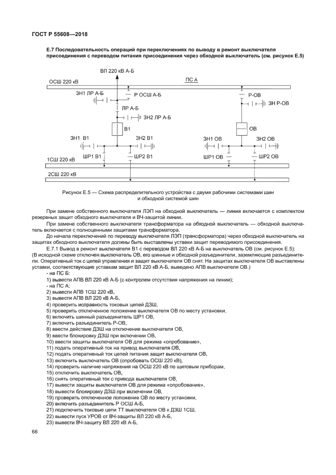
| Область применения: | Настоящий стандарт устанавливает порядок и последовательность выполнения переключений в электроустановках, входящих в состав Единой энергетической системы России, а также технологически изолированных территориальных электроэнергетических систем, расположенных на территории Российской Федерации. Настоящий стандарт предназначен для диспетчерского и оперативного персонала, а также административно-технического персонала, участвующего в разработке, согласовании и утверждении инструкций по производству переключений в электроустановках, разработке программ (типовых программ) и бланков (типовых бланков) переключений, и персонала, осуществляющего переключения в электроустановках |
|
| Расположен в: |
|