| Обозначение: |  ГОСТ 34345-2017 |
| Статус: | действующий |
| Название рус.: | Мультисплит-системы кондиционеров и воздухо-воздушных тепловых насосов. Испытания и оценка рабочих характеристик |
| Название англ.: | Multiple split-system air-conditioners and air-to-air heat pumps. Testing and rating for performance |
| Дата актуализации текста: | 01.06.2022 |
| Дата актуализации описания: | 01.07.2023 |
| Дата регистрации: | 30.11.2017 |
| Дата издания: | 16.11.2018 |
| Дата введения: | 01.07.2019 |
| Код ОКП: | 486200;515670 |
| Содержит требования: | ISO 15042:2011 |
| Нормативные ссылки: | ГОСТ 8.439-81; ГОСТ 8.586.1-2005; ГОСТ 32970-2014;ГОСТ ISO 817-2014 |
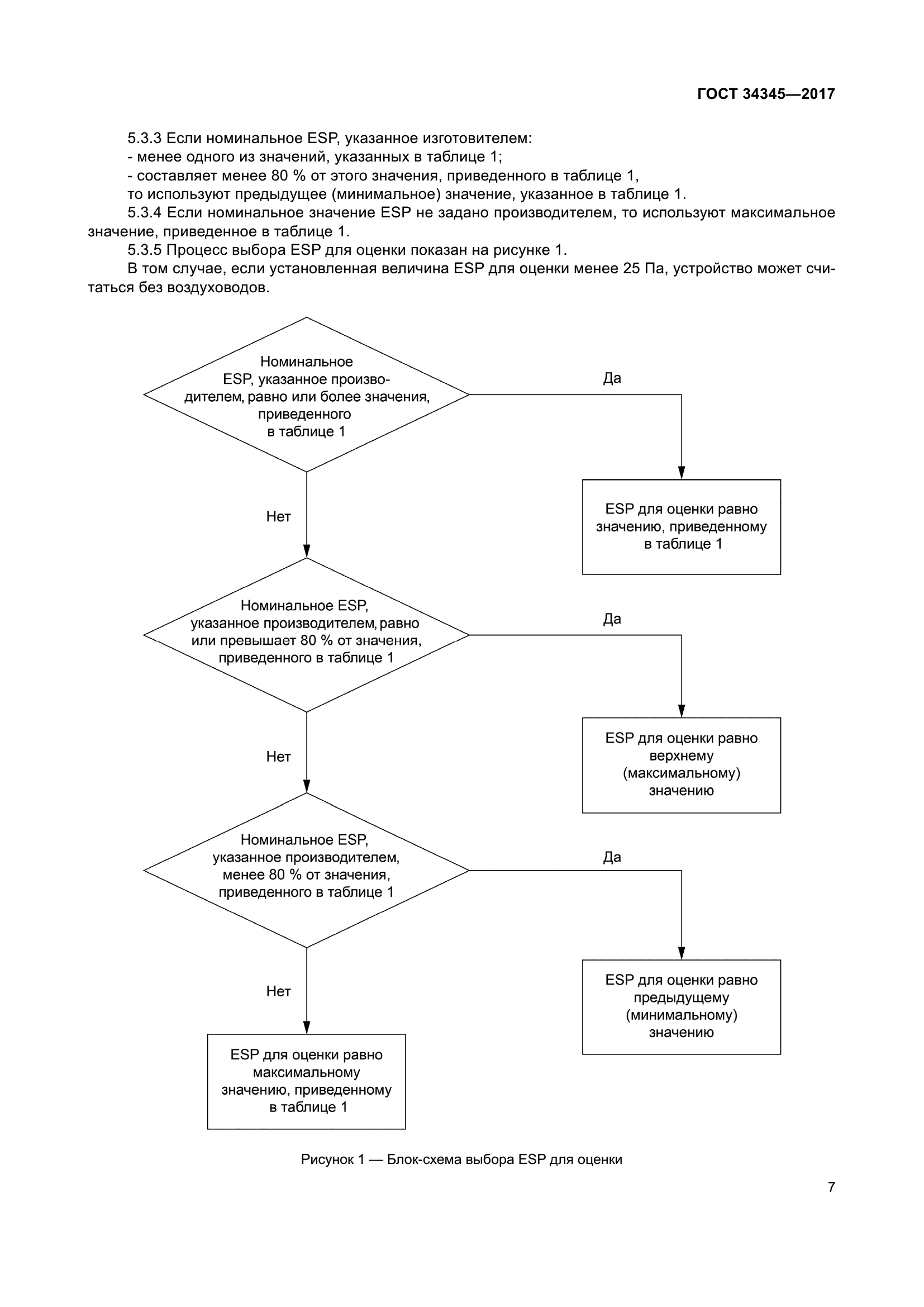
| Область применения: | Настоящий стандарт устанавливает стандартные условия для оценки производительности и эффективности кондиционеров с воздушным охлаждением и тепловых насосов «воздух-воздух». Требования настоящего стандарта применимы для оборудования, установленного в жилых, коммерческих и промышленных помещениях, заводского изготовления с электроприводом и механическим компрессором. Требования настоящего стандарта распространяются на обыкновенные мультисплит-системы, модульные мультисплит-системы и модульные мультисплит-системы с рекуперацией тепла. Требования настоящего стандарта распространяются на системы «воздух-воздух» без воздуховодов и/или системы с внутренними блоками, оборудованными воздуховодами и встроенными вентиляторами, или без вентиляторов |
| Приложение №1: | Поправка к ГОСТ 34345-2017 |
|
| Расположен в: |
|