Информационная система
«Ёшкин Кот»

Скачать базу одним архивом
Скачать обновления
История создания базы
Карта сайта

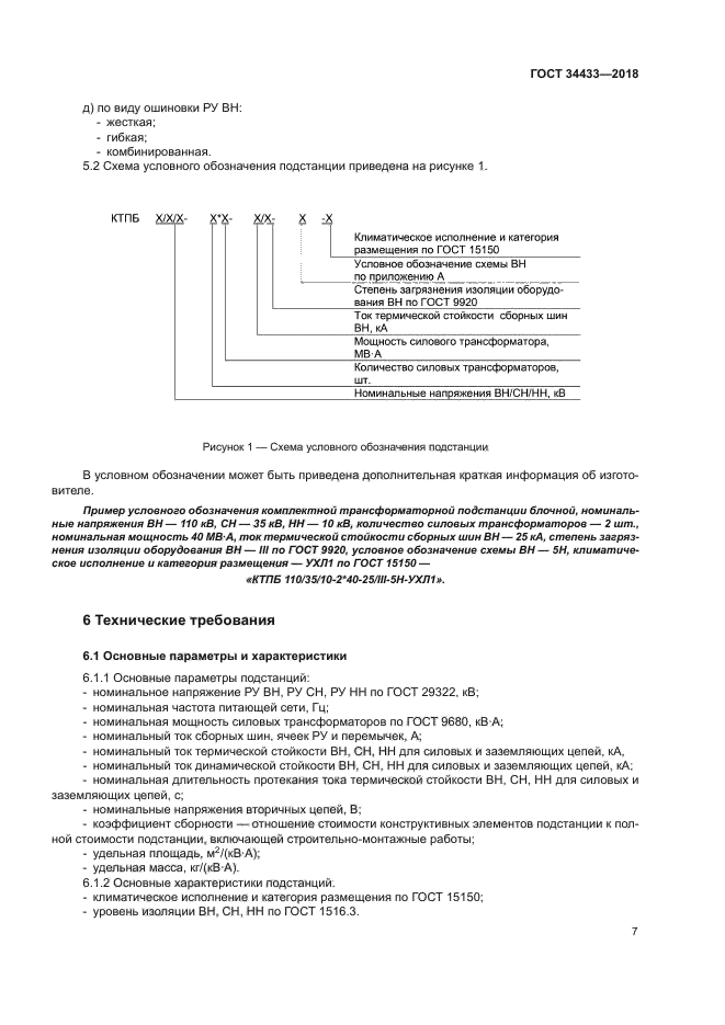
Скачать ГОСТ 34433-2018 Магистральный трубопроводный транспорт нефти и нефтепродуктов. Подстанции трансформаторные комплектные напряжением от 35 до 220 кв. Общие технические условия

Дата актуализации: 01.06.2025

ГОСТ 34433-2018

Магистральный трубопроводный транспорт нефти и нефтепродуктов. Подстанции трансформаторные комплектные напряжением от 35 до 220 кв. Общие технические условия

Обозначение: ГОСТ 34433-2018
Статус:действующий
Название рус.:Магистральный трубопроводный транспорт нефти и нефтепродуктов. Подстанции трансформаторные комплектные напряжением от 35 до 220 кв. Общие технические условия
Название англ.:Trunk pipelines for oil and oil products transportation. Transformer complete substations with voltage from 35 to 220 kV. General specifications
Дата актуализации текста:01.01.2021
Дата актуализации описания:01.07.2023
Дата регистрации:27.07.2018
Дата издания:17.08.2018
Дата введения:01.04.2019
Код ОКП:341200
Нормативные ссылки:ГОСТ 2.106-96;ГОСТ 2.610-2006;ГОСТ 4.316-85;ГОСТ 9.014-78;ГОСТ 9.032-74;ГОСТ 9.303-84;ГОСТ 9.307-89;ГОСТ 12.1.002-84;ГОСТ 12.1.003-2014;ГОСТ 12.1.009-76;ГОСТ 12.1.030-81;ГОСТ 12.2.007.0-75;ГОСТ 12.2.007.2-75;ГОСТ 12.2.007.3-75;ГОСТ 12.2.007.4-75;ГОСТ 12.2.007.6-75;ГОСТ 12.2.007.14-75;ГОСТ 12.2.049-80;ГОСТ 12.3.009-76;ГОСТ 12.3.019-80;ГОСТ 12.3.032-84;ГОСТ 12.4.026-2015;ГОСТ 15.001-88;ГОСТ 15.309-98;ГОСТ 27.002-2015;ГОСТ 27.003-90;ГОСТ 27.301-95;ГОСТ 839-80;ГОСТ 1516.1-76;ГОСТ 1516.2-97;ГОСТ 1516.3-96;ГОСТ 1759.0-87;ГОСТ 5089-2011;ГОСТ 5264-80;ГОСТ 6490-93;ГОСТ 8024-90;ГОСТ 8713-79;ГОСТ 9680-77;ГОСТ 9920-89;ГОСТ 10198-91;ГОСТ 10354-82;ГОСТ 10390-2015;ГОСТ 10434-82;ГОСТ 11533-75;ГОСТ 11534-75;ГОСТ 12969-67;ГОСТ 12971-67;ГОСТ 14192-96;ГОСТ 14209-85;ГОСТ 14254-2015;ГОСТ 14693-90;ГОСТ 14771-76;ГОСТ 14806-80;ГОСТ 15150-69;ГОСТ 15543.1-89;ГОСТ 15846-2002;ГОСТ 15963-79;ГОСТ 16504-81;ГОСТ 16962.1-89;ГОСТ 16962.2-90;ГОСТ 17412-72;ГОСТ 17516.1-90;ГОСТ 18620-86;ГОСТ 19132-86;ГОСТ 19431-84;ГОСТ 19797-85;ГОСТ 20454-85;ГОСТ 20783-81;ГОСТ 21242-75;ГОСТ 22012-82;ГОСТ 22853-86;ГОСТ 23118-2012;ГОСТ 23120-2016;ГОСТ 23170-78;ГОСТ 23216-78;ГОСТ 23274-84;ГОСТ 23518-79;ГОСТ 24297-2013;ГОСТ 24753-81;ГОСТ 25073-81;ГОСТ 28856-90;ГОСТ 29322-2014;ГОСТ 30546.1-98;ГОСТ 30546.2-98;ГОСТ 31565-2012;ГОСТ 32144-2013;ГОСТ IEC 61643-11-2013;ГОСТ IEC 62262-2015
Область применения:Настоящий стандарт распространяется на комплектные трансформаторные блочные подстанции напряжением от 35 до 220 кВ включительно, предназначенные для электроснабжения объектов магистрального трубопровода для транспортировки нефти и нефтепродуктов. Настоящий документ не распространяется на газоизолирующие подстанции
Расположен в:Государственные стандарты Общероссийский классификатор стандартов Электротехника Коммутационная аппаратура и аппаратура управления Высоковольтное оборудование, коммутационная аппаратура и аппаратура управления Классификатор государственных стандартов Металлы и металлические изделия Трубы металлические и трубные изделия Методы испытаний. Упаковка. Маркировка Окп Оборудование и материалы электротехнические Трансформаторы и трансформаторное оборудование, аппаратура высоковольтная, силовая преобразовательная техника, хемотроника Комплектные трансформаторные подстанции /
ГОСТ 34433-2018ГОСТ 34433-2018ГОСТ 34433-2018ГОСТ 34433-2018ГОСТ 34433-2018ГОСТ 34433-2018ГОСТ 34433-2018ГОСТ 34433-2018ГОСТ 34433-2018ГОСТ 34433-2018ГОСТ 34433-2018ГОСТ 34433-2018ГОСТ 34433-2018ГОСТ 34433-2018ГОСТ 34433-2018ГОСТ 34433-2018ГОСТ 34433-2018ГОСТ 34433-2018ГОСТ 34433-2018ГОСТ 34433-2018ГОСТ 34433-2018ГОСТ 34433-2018ГОСТ 34433-2018ГОСТ 34433-2018ГОСТ 34433-2018ГОСТ 34433-2018ГОСТ 34433-2018ГОСТ 34433-2018ГОСТ 34433-2018ГОСТ 34433-2018ГОСТ 34433-2018ГОСТ 34433-2018ГОСТ 34433-2018ГОСТ 34433-2018ГОСТ 34433-2018ГОСТ 34433-2018ГОСТ 34433-2018ГОСТ 34433-2018ГОСТ 34433-2018ГОСТ 34433-2018ГОСТ 34433-2018

© 2013 Ёшкин Кот :-) Карта сайта