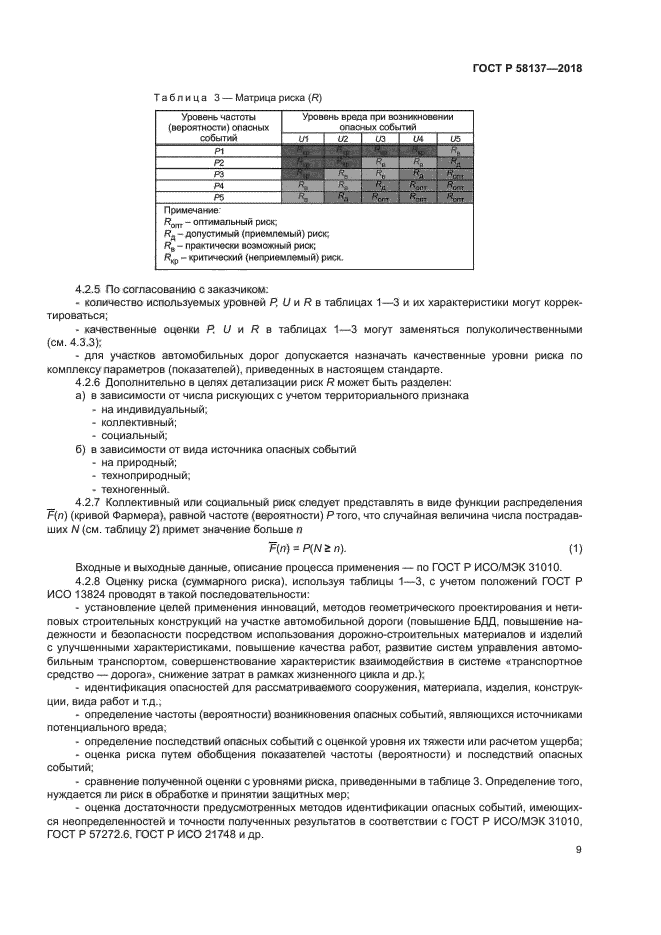
| ||||||||||||||||||||||||||||
Скачать ГОСТ Р 58137-2018 Дороги автомобильные общего пользования. Руководство по оценке риска в течение жизненного циклаДата актуализации: 01.06.2025
| ||||||||||||||||||||||||||||
| Обозначение: | ![]() ГОСТ Р 58137-2018 |
| Статус: | действующий |
| Название рус.: | Дороги автомобильные общего пользования. Руководство по оценке риска в течение жизненного цикла |
| Название англ.: | Automobile roads of general use. Guidelines for risk assessment during the life cycle |
| Дата актуализации текста: | 01.01.2021 |
| Дата актуализации описания: | 01.07.2023 |
| Дата издания: | 25.05.2018 |
| Дата введения: | 01.10.2018 |
| Нормативные ссылки: | ГОСТ 8267-93; ГОСТ 8736-2014; ГОСТ 9128-2013; ГОСТ 23558-94; ГОСТ 27751; ГОСТ 31015-2002; ГОСТ 31814; ГОСТ 32731; ГОСТ 32836; ГОСТ 32847; ГОСТ 32868; ГОСТ 32869; ГОСТ 32871; ГОСТ 32965; ГОСТ 33146; ГОСТ 33149; ГОСТ 33154; ГОСТ 33176; ГОСТ 33177; ГОСТ 33178; ГОСТ 33179; ГОСТ 33180; ГОСТ 33181; ГОСТ 33220; ГОСТ 33384; ГОСТ 33388; ГОСТ 33433; ГОСТ Р 12.0.010; ГОСТ Р 14.09; ГОСТ Р 14.12; ГОСТ Р 14.13; ГОСТ Р 22.2.02; ГОСТ Р 27.607; ГОСТ Р ИСО 9001; ГОСТ Р ИСО 13824; ГОСТ Р ИСО 14031; ГОСТ Р ИСО 14044; ГОСТ Р ИСО 21748; ГОСТ Р ИСО 31000; ГОСТ Р ИСО/МЭК 31010; ГОСТ Р 50597; ГОСТ Р 51000.4; ГОСТ Р 51897; ГОСТ Р 51901.1; ГОСТ Р 51901.5; ГОСТ Р 51901.11; ГОСТ Р 51901.12; ГОСТ Р 51901.14; ГОСТ Р 51901.16; ГОСТ Р 51901.21; ГОСТ Р 51901.22; ГОСТ Р 51901.23; ГОСТ Р 52107; ГОСТ Р 54617.1; ГОСТ Р 54617.2; ГОСТ Р 55270; ГОСТ Р 55347; ГОСТ Р 56521; ГОСТ Р 56260; ГОСТ Р 56261; ГОСТ Р 56268; ГОСТ Р 57272.1; ГОСТ Р 57272.2; ГОСТ Р 57272.3; ГОСТ Р 57272.6; ГОСТ Р 57272.7; ГОСТ Р 57208;СП 34.13330.2012;СП 35.13330.2011;СП 47.13330.2016;СП 79.13330.2012;СП 122.13330.2012 |
| Область применения: | Настоящий стандарт устанавливает общие принципы и процедуры идентификации опасностей, планирования и выполнения оценки и обработки риска при проектировании (включая изыскания), строительстве, реконструкции, ремонтах и содержании автомобильных дорог общего пользования. Стандарт допускается применять: - в качестве методической основы принятия решений по установлению допустимого риска или минимально необходимых требований по безопасности; - при проведении публичного технологического и ценового аудита проектов; - при анализе риска недостижения целей проектов документов по стандартизации; - в рамках системы менеджмента качества по ГОСТ Р ИСО 9001; - в целях страхования риска |
| Расположен в: | |
























































