| Обозначение: |  ГОСТ ISO/IEC 15438-2018 |
| Статус: | действующий |
| Название рус.: | Информационные технологии. Технологии автоматической идентификации и сбора данных. Спецификация символики штрихового кода PDF417 |
| Название англ.: | Information technology. Automatic identification and data capture techniques. PDF417 bar code symbology specification |
| Дата актуализации текста: | 01.01.2021 |
| Дата актуализации описания: | 01.07.2023 |
| Дата регистрации: | 30.01.2018 |
| Дата издания: | 21.05.2018 |
| Дата введения: | 01.05.2019 |
| Взамен: | ГОСТ 31016-2003 |
| Аутентичен стандартам: | ISO/IEC 15438:2015 |
| Нормативные ссылки: | ISO/IEC 646;ISO/IEC 15415;ISO/IEC 15424;ISO/IEC 19762-1;ISO/IEC 19762-2;ISO/IEC 24723 |
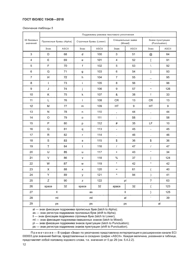
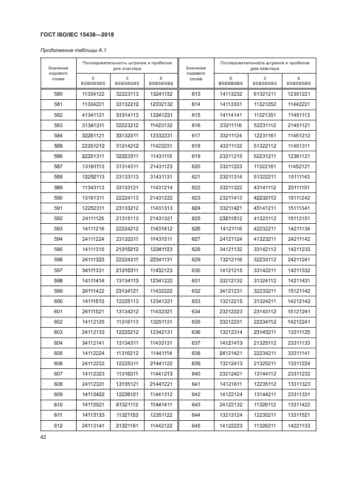
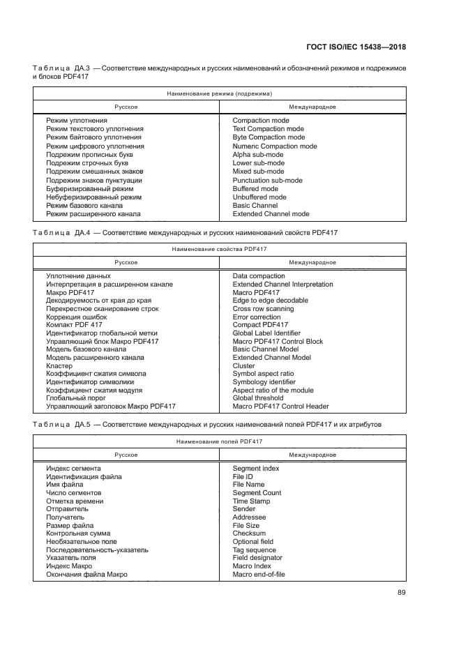
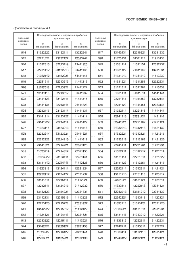
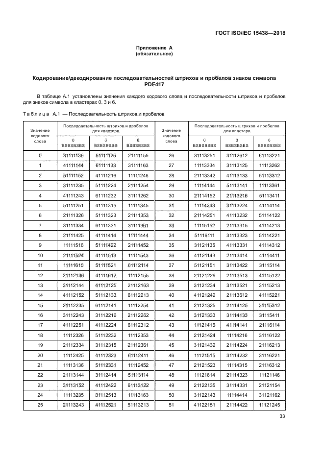
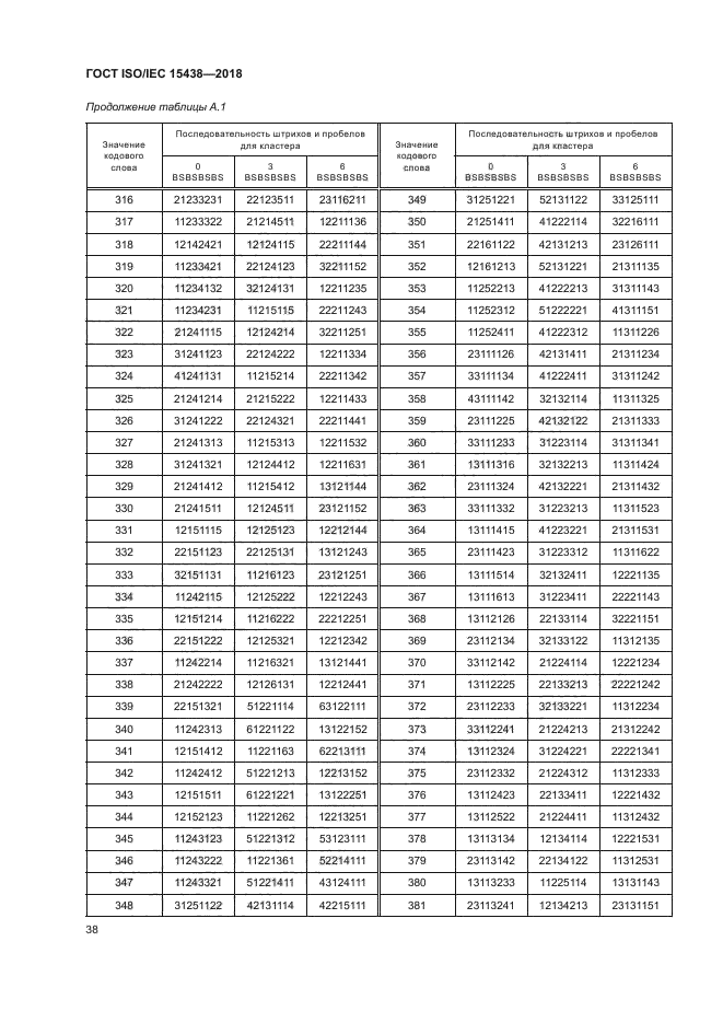
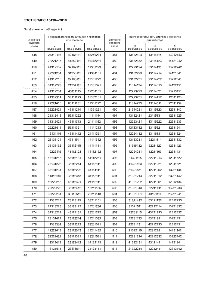
| Область применения: | Настоящий стандарт устанавливает: - требования к символике штрихового кода PDF4171; - показатели символики PDF417, кодирование знаков данных, форматы символов, размеры, правила коррекции ошибки, рекомендуемый алгоритм декодирования и совокупность параметров применения |
|
| Расположен в: |
|