| Обозначение: |  ГОСТ Р 58083-2018 |
| Статус: | действующий |
| Название рус.: | Информация и документация. Радиочастотная идентификация в библиотеках. Часть 4. Кодирование элементов данных на основе правил ИСО/МЭК 15962 в радиочастотной метке с раздельными банками памяти |
| Название англ.: | Information and documentation. RFID in libraries. Part 4. Encoding of data elements based on rules from ISO/IEC 15962 in an RFID tag with partitioned memory |
| Дата актуализации текста: | 01.01.2021 |
| Дата актуализации описания: | 01.12.2024 |
| Дата издания: | 19.03.2018 |
| Дата введения: | 01.03.2019 |
| Аутентичен стандартам: | ISO/TS 28560-4:2014 |
| Нормативные ссылки: | ISO/IEC 15961-1;ISO/IEC 15962;ISO/IEC 18000-63;ISO/IEC 18046-1;ISO/IEC 18046-2;ISO/IEC 18046-3;ISO/IEC 18047-6;ISO 28560-1 |
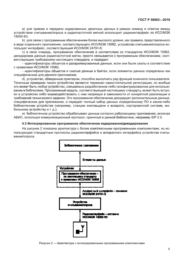
| Область применения: | Настоящий стандарт устанавливает правила для элементов данных согласно ИСО 28560-1, записанных в память радиочастотных меток со структурой памяти, разделенной на 4 банка памяти. В первую очередь эта часть относится к радиочастотным меткам по ИСО/МЭК 18000-63 (ранее известному, как ИСО/МЭК 18000-6 тип C), работающих в диапазоне ультравысоких частот (УВЧ, UHF), но не обязательно ограничивается указанной технологией |
|
| Расположен в: |
|