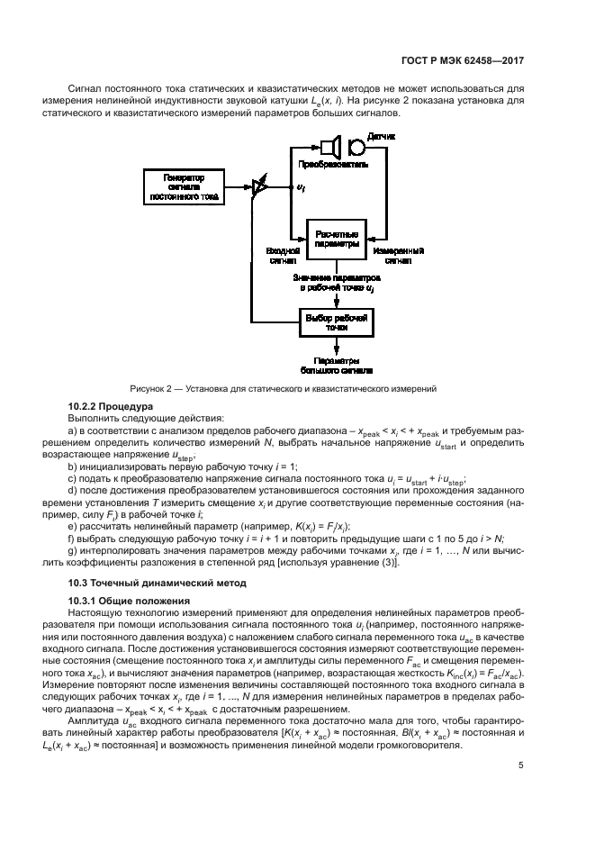
Информационная система
«Ёшкин Кот»

Скачать базу одним архивом
Скачать обновления
История создания базы
Карта сайта

Скачать ГОСТ Р МЭК 62458-2017 Оборудование звуковых систем. Электроаккустические преобразователи. Измерения параметров в режиме больших сигналов

Дата актуализации: 01.06.2025

ГОСТ Р МЭК 62458-2017

Оборудование звуковых систем. Электроаккустические преобразователи. Измерения параметров в режиме больших сигналов

Обозначение: ГОСТ Р МЭК 62458-2017
Статус:действующий
Название рус.:Оборудование звуковых систем. Электроаккустические преобразователи. Измерения параметров в режиме больших сигналов
Название англ.:Sound system equipment. Electroacoustical transducers. Measurement of large signal parameters
Дата актуализации текста:01.01.2018
Дата актуализации описания:01.07.2023
Дата издания:26.05.2020
Дата введения:01.09.2018
Аутентичен стандартам:IEC 62458(2010)
Нормативные ссылки:IEC 60268-1;IEC 60268-5(2003)
Область применения:Настоящий стандарт распространяется на электроакустические преобразователи, такие как задающие блоки громкоговорителей, акустические системы, наушники, микро-динамики, акустические вибраторы и другие источники сигналов, использующие либо электродинамический, либо электромагнитный мотор, соединенный с механической подвеской. Динамические характеристики сильных сигналов преобразователя моделируют посредством модели с сосредоточенными параметрами, учитывающей доминирующие нелинейности, такие как коэффициент силы, жесткость и индуктивность. Настоящий стандарт устанавливает основные термины и параметры модели, методы измерений и способы представления результатов измерений
Расположен в:Государственные стандарты Общероссийский классификатор стандартов Телекоммуникации.аудио-и видеотехника Аудио-, видео- и аудиовизуальная техника Вспомогательные устройства Классификатор государственных стандартов Электронная техника, радиоэлектроника и связь Аппаратура и оборудование для радиовещания и телевидения Методы испытаний. Упаковка. Маркировка
ГОСТ Р МЭК 62458-2017ГОСТ Р МЭК 62458-2017ГОСТ Р МЭК 62458-2017ГОСТ Р МЭК 62458-2017ГОСТ Р МЭК 62458-2017ГОСТ Р МЭК 62458-2017ГОСТ Р МЭК 62458-2017ГОСТ Р МЭК 62458-2017ГОСТ Р МЭК 62458-2017ГОСТ Р МЭК 62458-2017ГОСТ Р МЭК 62458-2017ГОСТ Р МЭК 62458-2017ГОСТ Р МЭК 62458-2017ГОСТ Р МЭК 62458-2017ГОСТ Р МЭК 62458-2017ГОСТ Р МЭК 62458-2017ГОСТ Р МЭК 62458-2017ГОСТ Р МЭК 62458-2017ГОСТ Р МЭК 62458-2017ГОСТ Р МЭК 62458-2017ГОСТ Р МЭК 62458-2017ГОСТ Р МЭК 62458-2017ГОСТ Р МЭК 62458-2017ГОСТ Р МЭК 62458-2017

© 2013 Ёшкин Кот :-) Карта сайта