| Обозначение: |    ГОСТ Р МЭК 62679-3-1-2017 | 
| Статус: | действующий | 
| Название рус.: | Дисплеи на основе электронной бумаги. Часть 3-1. Оптические методы измерений | 
| Название англ.: | Electronic paper displays. Part 3-1. Optical measurement methods | 
| Дата актуализации текста: | 01.01.2018 | 
| Дата актуализации описания: | 01.07.2023 | 
| Дата издания: | 05.12.2017 | 
| Дата введения: | 01.09.2018 | 
| Аутентичен стандартам: | IEC 62679-3-1(2014) | 
| Нормативные ссылки: | IEC 60050;IEC 62679-1-1;IEC 61966-2-1;CIE 15;CIE 38 | 
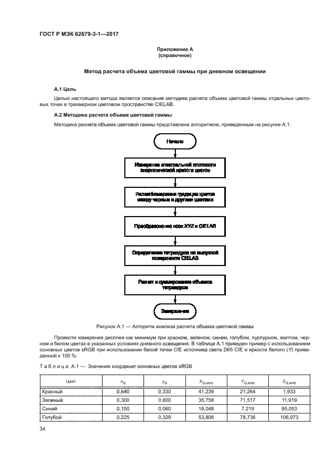
| Область применения: | Настоящий стандарт устанавливает стандартные условия измерений и методы измерений для определения оптических характеристик дисплея на основе электронной бумаги (EPDs). Настоящий стандарт распространяется на EPDs с использованием сегментной, пассивной, либо активной матрицы с дисплеями монохромного или цветного типа. Методы измерения предназначены для EPDs, работающих в режиме отражения. EPDs могут включать встроенное осветительное устройство (ILU), но при применении установленных настоящим стандартом методов измерения ILU должно находиться в выключенном состоянии. Настоящий стандарт не распространяется на цветные системы, имеющие более трех основных цветов | 
 | 
| Расположен в: | 
  |