| Обозначение: |  ГОСТ Р 57874-2017 |
| Статус: | действующий |
| Название рус.: | Телевидение вещательное цифровое. Система TV-Anytime. Процесс поиска контента по ссылке. Основные параметры |
| Название англ.: | Digital Video Broadcasting. System TV-Anytime. The process of searching for content by reference. Basic parameters |
| Дата актуализации текста: | 01.01.2021 |
| Дата актуализации описания: | 01.07.2023 |
| Дата издания: | 21.05.2020 |
| Дата введения: | 01.08.2018 |
| Код ОКП: | 657400 |
| Нормативные ссылки: | ГОСТ Р 52210; ГОСТ Р 56476 |
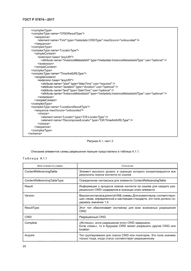
| Область применения: | Настоящий стандарт предназначен для применения в системе вещания ТВ-Anytime, работающей в однонаправленных и двунаправленных средах. Настоящий стандарт устанавливает параметры процесса поиска контента по ссылке. Реализация этих параметров дает возможность пользователю системы ТV-Anytime доступ к конкретному экземпляру конкретного элемента контента, повышает доступность пользователей системы ТV-Anytime к фондам видео- и аудиоматериалов в существующем медиапространстве. Реализация параметров процесса поиска контента по ссылке, установленных в настоящем стандарте, позволит повысить экономическую эффективность системы TV-Anytime |
|
| Расположен в: |
|