| ||||||||||||||||||||||||||||||
Скачать ГОСТ Р 57794-2017 Эргономика термальной среды. Аналитическое определение и интерпретация теплового стресса с использованием расчета прогнозируемой тепловой нагрузкиДата актуализации: 01.06.2025
| ||||||||||||||||||||||||||||||
| Обозначение: | ![]() ГОСТ Р 57794-2017 |
| Статус: | действующий |
| Название рус.: | Эргономика термальной среды. Аналитическое определение и интерпретация теплового стресса с использованием расчета прогнозируемой тепловой нагрузки |
| Название англ.: | Ergonomics of the thermal environment. Analytical determination and interpretation of heat stress using calculation of the predicted heat strain |
| Дата актуализации текста: | 01.01.2021 |
| Дата актуализации описания: | 01.07.2023 |
| Дата издания: | 23.07.2019 |
| Дата введения: | 01.12.2018 |
| Содержит требования: | ISO 7933:2004 |
| Нормативные ссылки: | ГОСТ Р ИСО 7243; ГОСТ Р ИСО 8996; ГОСТ Р ИСО 9886; ГОСТ Р ИСО 13732-1 |
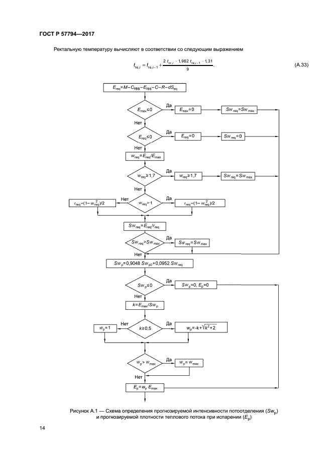
| Область применения: | В настоящем стандарте установлен метод аналитической оценки и интерпретации теплового стресса, который испытывает субъект в горячей среде. В стандарте описан метод прогнозирования интенсивности потоотделения и внутренней температуры тела человека в конкретных условиях труда. Различные термины, использованные в данной модели прогнозирования, в частности для вычисления теплового баланса, показывают влияние различных физических параметров окружающей среды на тепловую нагрузку, которую испытывает субъект. Таким образом, настоящий стандарт позволяет определить, какой параметр или группа параметров должны быть изменены и до какой степени, чтобы уменьшить риск физиологического напряжения |
| Расположен в: | |



































