| ||||||||||||||||||||||||||||
Скачать ГОСТ Р 57851.1-2017 Смесь газоконденсатная. Часть 1. Газ сепарации. Определение компонентного состава методом газовой хроматографииДата актуализации: 01.06.2025
| ||||||||||||||||||||||||||||
| Обозначение: | ![]() ГОСТ Р 57851.1-2017 |
| Статус: | действующий |
| Название рус.: | Смесь газоконденсатная. Часть 1. Газ сепарации. Определение компонентного состава методом газовой хроматографии |
| Название англ.: | Gas-condensate mixture. Part 1. Separation gas. Compositional analysis by gas chromatography method |
| Дата актуализации текста: | 01.01.2018 |
| Дата актуализации описания: | 01.07.2023 |
| Дата издания: | 30.11.2017 |
| Дата введения: | 01.01.2019 |
| Нормативные ссылки: | ГОСТ 12.0.004; ГОСТ 12.1.005; ГОСТ 12.1.007; ГОСТ 12.4.021; ГОСТ 1770; ГОСТ 6709; ГОСТ 6995; ГОСТ 9293; ГОСТ 9805; ГОСТ 13861; ГОСТ 17310; ГОСТ 17433; ГОСТ 17567; ГОСТ 25336; ГОСТ 28498; ГОСТ 29227; ГОСТ 30852.19; ГОСТ 31369; ГОСТ 31370; ГОСТ 31371.1; ГОСТ Р ИСО 5725-1; ГОСТ Р ИСО 5725-6; ГОСТ Р ИСО 10155–2006; ГОСТ Р ИСО 14001; ГОСТ Р 51673; ГОСТ Р 53228; ГОСТ Р 53763; ГОСТ Р 55555.4 |
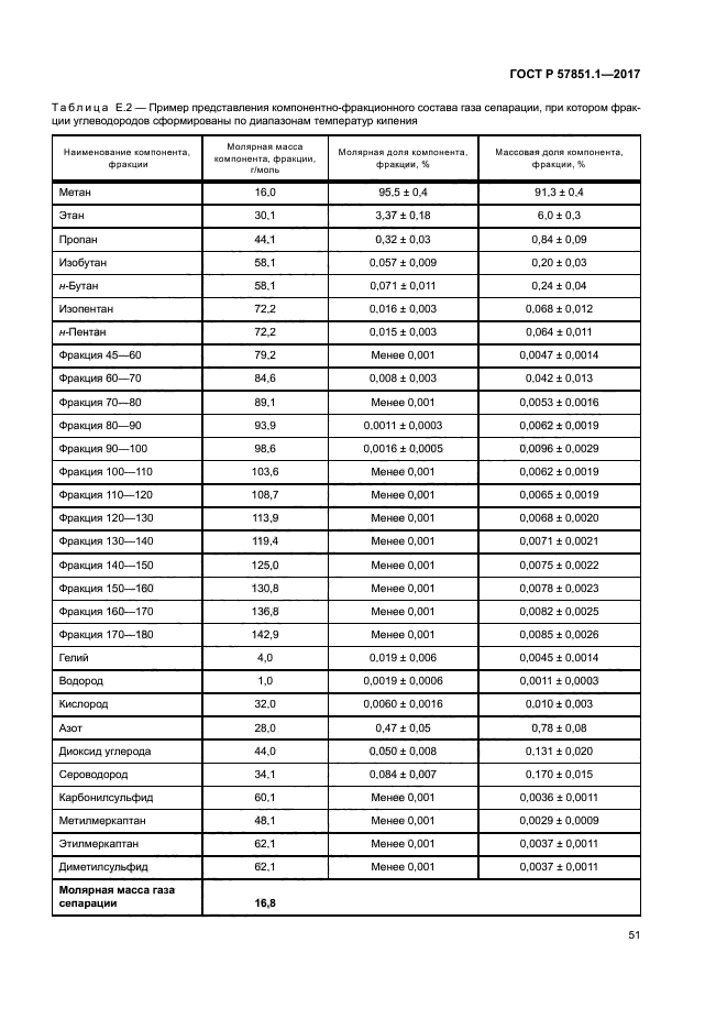
| Область применения: | Настоящий стандарт устанавливает определение молярной доли неуглеводородных компонентов (водорода, кислорода, гелия, азота, диоксида углерода), индивидуальных углеводородов С1 - н-С5, фракций углеводородов С6 - С10 (или фракции С6+высшие), серосодержащих соединений (сероводорода, карбонилсульфида, дисульфида углерода, индивидуальных меркаптанов С1 - С4, сульфидов, производных тиофена), метанола в пробе газа сепарации методом газовой хроматографии в диапазонах. Метод используют в аналитических (испытательных) лабораториях и узлах измерений количества газа сепарации предприятий и организаций по добыче и переработке сырья газоконденсатных и нефтегазоконденсатных месторождений, контролирующих физико-химические свойства газа сепарации для целей учета и анализа показателей разработки месторождений, планирования добычи и переработки углеводородного сырья |
| Расположен в: | |

























































