| Обозначение: |  ГОСТ Р МЭК 60645-1-2017 |
| Статус: | действующий |
| Название рус.: | Электроакустика. Аудиометрическое оборудование. Часть 1. Оборудование для тональной и речевой аудиометрии |
| Название англ.: | Electroacoustics. Audiometric equipment. Part 1. Equipment for pure-tone and speech audiometry |
| Дата актуализации текста: | 01.01.2018 |
| Дата актуализации описания: | 01.07.2023 |
| Дата издания: | 10.04.2019 |
| Дата введения: | 01.12.2018 |
| Аутентичен стандартам: | IEC 60645-1(2017) |
| Нормативные ссылки: | ISO 266;ISO 389-1;ISO 389-2;ISO 389-3;ISO 389-4:1994;ISO 389-5;ISO 389-7;ISO 389-8;ISO 4869-1;ISO 8253-1:2010;ISO 8253-2;ISO 8253-3;IEC 60268-3;IEC 60268-7;IEC 60268-17;IEC 60318-1;IEC 60318-3;IEC 60318-4;IEC 60318-5;IEC 60318-6;IEC 60601-1;IEC 60601-1-2;IEC 61260-1;IEC 61672-1 |
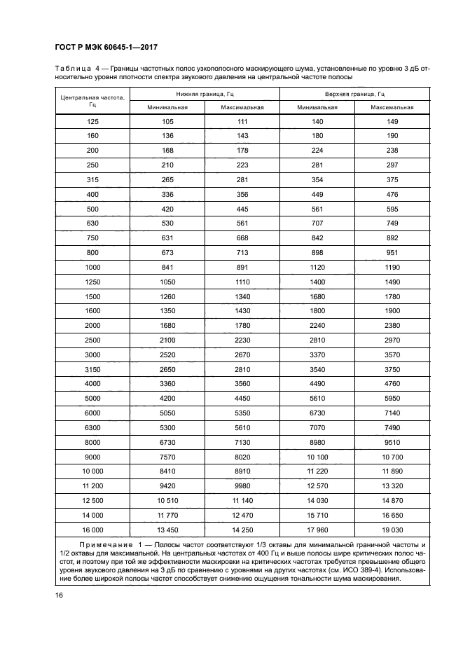
| Область применения: | Настоящий стандарт устанавливает общие требования к аудиометрам, предназначенным для определения уровней порога слышимости по отношению к опорным уровням, установленным посредством психоакустических методов испытаний, и для выполнения психоакустических тестов с использованием речевого материала. Целью стандарта является обеспечить: a) близость результатов при проведении испытаний остроты слуха в диапазоне частот от 125 Гц до 16 кГц, выполненных различными тональными аудиометрами, удовлетворяющими требованиям настоящего стандарта; b) достоверность разности между измеряемыми и опорными уровнями порога слышимости при проведении аудиометрических испытаний; c) стандартный метод предъявления испытуемому речевого материала, гарантирующий практически одинаковые результаты при аудиометрических испытаниях с использованием конкретного речевого сигнала и конкретного способа его предъявления с помощью различных аудиометров, удовлетворяющих требованиям настоящего стандарта; d) классификацию аудиометров по диапазону испытательных сигналов, по режиму их работы и основному назначению |
|
| Расположен в: |
|