Информационная система
«Ёшкин Кот»

Скачать базу одним архивом
Скачать обновления
История создания базы
Карта сайта

Скачать ГОСТ Р 57847-2017 Информатизация здоровья. Связь с медицинскими приборами индивидуального контроля состояния здоровья. Часть 10421. Специализация прибора. Пневмотахометр

Дата актуализации: 01.06.2025

ГОСТ Р 57847-2017

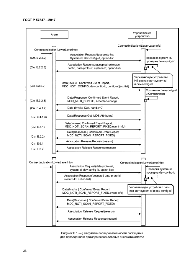
Информатизация здоровья. Связь с медицинскими приборами индивидуального контроля состояния здоровья. Часть 10421. Специализация прибора. Пневмотахометр

Обозначение: ГОСТ Р 57847-2017
Статус:действующий
Название рус.:Информатизация здоровья. Связь с медицинскими приборами индивидуального контроля состояния здоровья. Часть 10421. Специализация прибора. Пневмотахометр
Название англ.:Health informatics. Personal health device communication. Part 10421. Device specialization. Peak expiratory flow monitor
Дата актуализации текста:01.01.2018
Дата актуализации описания:01.01.2021
Дата издания:29.11.2017
Дата введения:01.07.2019
Аутентичен стандартам:ISO/IEEE 11073-10421:2012
Нормативные ссылки:IEEE Std 11073-20601-2008
Область применения:Требования настоящего стандарта распространяются на нормативное определение взаимосвязи между индивидуальными приборами мониторинга максимальной скорости выдоха (агентами) и управляющими устройствами (например, сотовыми телефонами, персональными компьютерами, индивидуальными медицинскими приборами или цифровыми приставками), обеспечивающей интероперабельность с автоматическим конфигурированием. В настоящем стандарте использованы материалы из других стандартов комплекса ISO/IEEE 11073, включая терминологию, информационные модели, стандарты прикладных профилей и стандарты транспортного уровня. Настоящий стандарт определяет использование кодировки специальных терминов, форматов и режимов работы в условиях применения средств телемедицины, ограничивающих возможности базовых конфигураций для обеспечения интероперабельности. Настоящий стандарт определяет общую основу функциональности пневмотахометра. Область применения настоящего стандарта ограничена индивидуальным контролем дыхания, и поэтому не включает спирометрию, применяемую в больницах. Требования настоящего стандарта не распространяются на непрерывный мониторинг и мониторинг в острый период болезни (например при оказании экстренной помощи). Среди приборов индивидуального контроля состояния здоровья, пневмотахометр является прибором, предназначенным для измерения дыхательной функции при таких респираторных заболеваниях, как астма и легочное закупоривание. Способность выявить ухудшение респираторного состояния до того, как возникнет необходимость экстренного вмешательства, повышает качество жизни человека при снижении общей стоимости лечения. Данные о респираторном состоянии накапливаются в персональном приборе мониторинга дыхания и направляются в центральный депозитарий данных для анализа и выполнения необходимых действий лечащим врачом. Эти данные по своей природе являются нерегулярными и передаются через определенные интервалы времени или при возникновении симптомов у пациента. Настоящий стандарт определяет моделирование данных и их промежуточный транспортный уровень согласно IEEE 11073-20601-2008, но не определяет метод измерения
Расположен в:Государственные стандарты Общероссийский классификатор стандартов Информационные технологии. Машины конторские Применение информационных технологий Применение информационных технологий в здравоохранении Классификатор государственных стандартов Измерительные приборы. Средства автоматизации и вычислительной техники Средства вычислительной техники и автоматизированные системы управления Виды представления информации и математическое обеспечение машин Здравоохранение. Предметы санитарии и гигиены Общие правила и нормы по здравоохранению Термины и обозначения
ГОСТ Р 57847-2017ГОСТ Р 57847-2017ГОСТ Р 57847-2017ГОСТ Р 57847-2017ГОСТ Р 57847-2017ГОСТ Р 57847-2017ГОСТ Р 57847-2017ГОСТ Р 57847-2017ГОСТ Р 57847-2017ГОСТ Р 57847-2017ГОСТ Р 57847-2017ГОСТ Р 57847-2017ГОСТ Р 57847-2017ГОСТ Р 57847-2017ГОСТ Р 57847-2017ГОСТ Р 57847-2017ГОСТ Р 57847-2017ГОСТ Р 57847-2017ГОСТ Р 57847-2017ГОСТ Р 57847-2017ГОСТ Р 57847-2017ГОСТ Р 57847-2017ГОСТ Р 57847-2017ГОСТ Р 57847-2017ГОСТ Р 57847-2017ГОСТ Р 57847-2017ГОСТ Р 57847-2017ГОСТ Р 57847-2017ГОСТ Р 57847-2017ГОСТ Р 57847-2017ГОСТ Р 57847-2017ГОСТ Р 57847-2017ГОСТ Р 57847-2017ГОСТ Р 57847-2017ГОСТ Р 57847-2017ГОСТ Р 57847-2017ГОСТ Р 57847-2017ГОСТ Р 57847-2017ГОСТ Р 57847-2017ГОСТ Р 57847-2017ГОСТ Р 57847-2017ГОСТ Р 57847-2017ГОСТ Р 57847-2017ГОСТ Р 57847-2017ГОСТ Р 57847-2017ГОСТ Р 57847-2017ГОСТ Р 57847-2017ГОСТ Р 57847-2017ГОСТ Р 57847-2017ГОСТ Р 57847-2017ГОСТ Р 57847-2017ГОСТ Р 57847-2017ГОСТ Р 57847-2017ГОСТ Р 57847-2017

© 2013 Ёшкин Кот :-) Карта сайта